TuttoQUIZ.it

Il portale dell'apprendimento online.

Quiz Assegnazione di Sedi Farmaceutiche 2025

Suddivisione database ministeriale

GRUPPI DI QUESITI 1021-1050

1021. Quale delle seguenti affermazioni sul labetalolo NON è corretta? Il composto è un bloccante

1022. Di cosa deve essere obbligatoriamente dotata la farmacia ove si eseguano preparazioni iniettabili, oltre che dei necessari mezzi di sterilizzazione?
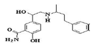
1023. Degli accoppiamenti sotto indicati, qual è quello corretto
1024. Le ammine simpaticomimetiche agoniste dei recettori beta adrenergici interferiscono nel metabolismo energetico in quanto:
1025. L’ezetimibe viene co-somministrato con
1026. Quale antagonista degli oppioidi viene usato nella terapia di mantenimento di pazienti, sottoposti a detossificazione rapida, per prevenire le recidive?
1027. La pubblicità di medicinali presso il pubblico deve essere autorizzata
1028. La Griseofulvina è un antifungino che agisce:
1029. Il livello ottimale del colesterolo totale nel sangue, espresso in mg/100 ml, dovrebbe essere inferiore a:
1030. Quale dei seguenti anestetici generali NON è somministrabile per via endovenosa

1031. Il principio attivo amminofillina è costituito dalle due entità molecolari indicate che prendono il nome di teofillina (1) ed etilendiammina (2). Esso deve essere considerato
1032. Quale, tra quelli indicati, rappresenta un possibile effetto collaterale degli anestetici locali di attuale impiego clinico:
1033. L’androstano è l’idrocarburo di riferimento per gli ormoni androgeni. Il numero di atomi di carbonio del suo scheletro è
1034. A quale classe di farmaci viene riferito il suffisso “dipina” nella Denominazione Comune?
1035. Gli inibitori enzimatici detti “substrati suicidi” debbono la loro alta specificità
1036. Il morbo di Addison iatrogeno è un effetto indotto da:
1037. Quale, tra le seguenti Tabelle della F.U., può essere conveniente consultare quando, conoscendo il quantitativo massimo pro-dose di una sostanza consigliato dalla F.U., si voglia stabilire quali sono le dosi corrispondenti di un suo sale?
1038. La fenilefrina a livello della mucosa nasale produce:
1039. Una delle opzioni terapeutiche maggiormente usate per il trattamento della gotta è rappresentata da:
1040. La durata complessiva della sostituzione del titolare di farmacia per infermità non può superare un periodo continuativo di?
1041. I neurolettici tipici interferiscono con il sistema dopaminergico in quanto
1042. Le soluzioni di minoxidil vengono utilizzate per frizioni del cuoio capelluto allo scopo di prevenire la caduta dei capelli. Il preparato, considerato il lungo periodo per il quale deve essere utilizzato,
1043. Quale tra i seguenti enzimi, NON partecipa alla formazione della dopamina nell’organismo?
1044. Due soluzioni acquose presentano valori diversi del punto di ebollizione. Se la prima bolle ad una temperatura più elevata rispetto alla seconda vuol dire che nei confronti di quest’ultima essa è
1045. I principi attivi identificati con il suffisso “ setron “ sono dotati:
1046. In un prodotto cosmetico è ammesso l'impiego di corticosteroidi?
1047. La Fexofenadina è:
1048. La tariffa nazionale dei medicinali è approvata:
1049. Tutti i farmaci elencati inducono midriasi e paralisi dell'accomodazione. Il recupero funzionale più lento si osserva dopo somministrazione di
1050. Gli isomeri conformazionali di una struttura biologicamente attiva

TuttoQUIZ.it, il portale dell'apprendimento online

© 2019 Tutti i diritti riservati

 

ASSODOLAB, Associazione Nazionale Docenti di Laboratorio
Ente accreditato e qualificato dal MIUR per la formazione del personale della Scuola - Direttiva 170 del 21/03/2016.
Via Cavour, 74 - 76015 TRINITAPOLI BT - Italy
Telefono 339.2661022 - P. IVA 03039870716

 

PRIVACY: Questo sito utilizza cookie per migliorare servizi ed esperienza dei lettori. MAGGIORI DETTAGLI

DICHIARAZIONE DI NON RESPONSABILITA': Il titolare del sito non si assume alcuna responsabilità per eventuali danni diretti o indiretti derivanti dall'uso delle informazioni presenti nel sito o non aggiornate. L'accesso e l'utilizzo del sito avvengono sotto la responsabilità dell'utente.Tutti i contenuti del sito sono usufruibili in maniera gratuita. Non viene mai richiesto dagli autori del sito di utilizzare carte di credito o altri strumenti di pagamento.