TuttoQUIZ.it

Il portale dell'apprendimento online.

Quiz Assegnazione di Sedi Farmaceutiche 2025

Suddivisione database ministeriale

GRUPPI DI QUESITI 1111-1140

1111. L'associazione di sulfametoxazolo e trimetoprim
1112. L’Autorità Competente in materia di presidi medico chirurgici è:
1113. L’antitrombina è costituita da residui:
1114. I farmaci citostatici "fase-specifici" agiscono:
1115. La Tariffa Nazionale per la vendita al pubblico dei medicinali prevede un supplemento:
1116. Quale delle affermazioni seguenti sul Flumazemil è corretta?
1117. Quale delle seguenti affermazioni relative al principio attivo quetiapina è corretta?
1118. Quale dei prodotti sotto elencati viene più comunemente usato come agente correttore di acidità nella preparazione delle forme farmaceutiche liquide che devono presentare valori di pH analoghi a quelli dei liquidi biologici?
1119. Quale, tra quelli sotto indicati, rappresenta l’impiego terapeutico del triesifenidile?
1120. Di quali medicinali sono obbligate ad essere provviste le farmacie? Solo
1121. A chi compete la farmacovigilanza?
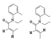
1122. Cosa sono una rispetto all’altra le due sostanze sottoriportate

1123. Gli antibiotici chinolonici agiscono
1124. I requisiti microbiologici stabiliti dalla F.U. per preparazioni non sterili:
1125. Gli antagonisti dei recettori H2 esercitano il loro effetto
1126. Chi approva l’elenco ufficiale delle preparazioni per uso parenterale?
1127. Il TSH (tireotropina):
1128. Delle seguenti forme farmaceutiche in compresse, quali non sono riportate in F.U.
1129. Il principio attivo talidomide è un farmaco della famiglia delle glutarimidi. Esso:
1130. Modificando opportunamente la struttura della feniletilammina si può raggiungere una maggiore selettività nei confronti del recettore adrenergico b. Quale delle seguenti affermazioni è corretta:

1131. Tra i bloccanti della placca motrice indicati, quale provoca una paralisi muscolare più rapida nell’insorgenza e più breve nella durata?
1132. La disponibilità farmaceutica di un farmaco che si presenta in due o più forme polimorfe, può essere diversa nella forma farmaceutica di
1133. Quale delle sperimentazioni farmacologiche sottoriportate è maggiormente correlabile al termine di sperimentazione “in doppio cieco”? Quelle
1134. Le forme farmaceutiche a rilascio prolungato mostrano un rilascio della/e sostanze attive rispetto a quello di una forma di dosaggio convenzionale somministrata per la stessa via:
1135. Quale articolo della Costituzione enuncia la tutela della salute come fondamentale diritto dell’individuo e interesse della collettività?
1136. Il fenilbutazone, di cui è riportata la struttura, è un farmaco FANS appartenente alla famiglia:

1137. Il clomifene è una miscela di isomeri E e Z. Tra i seguenti saggi: HPLC, dosaggio acidimetrico, 1H NMR, rotazione ottica, quale o quali possono determinare la percentuale di isomero Z?

1138. Su quali sottotipi di canali operati dal potenziale di membrana agiscono gli antagonisti dei canali del Ca2+
1139. Quale dei seguenti farmaci si comporta da antipertensivo ad azione centrale?
1140. Indicare quale tra questi farmaci antinfiammatori non steroidei (FANS) utilizzati nella terapia dell'artrite reumatoide provoca una minore incidenza di sanguinamento gastro-duodenale:

TuttoQUIZ.it, il portale dell'apprendimento online

© 2019 Tutti i diritti riservati

 

ASSODOLAB, Associazione Nazionale Docenti di Laboratorio
Ente accreditato e qualificato dal MIUR per la formazione del personale della Scuola - Direttiva 170 del 21/03/2016.
Via Cavour, 74 - 76015 TRINITAPOLI BT - Italy
Telefono 339.2661022 - P. IVA 03039870716

 

PRIVACY: Questo sito utilizza cookie per migliorare servizi ed esperienza dei lettori. MAGGIORI DETTAGLI

DICHIARAZIONE DI NON RESPONSABILITA': Il titolare del sito non si assume alcuna responsabilità per eventuali danni diretti o indiretti derivanti dall'uso delle informazioni presenti nel sito o non aggiornate. L'accesso e l'utilizzo del sito avvengono sotto la responsabilità dell'utente.Tutti i contenuti del sito sono usufruibili in maniera gratuita. Non viene mai richiesto dagli autori del sito di utilizzare carte di credito o altri strumenti di pagamento.