TuttoQUIZ.it

Il portale dell'apprendimento online.

Quiz Assegnazione di Sedi Farmaceutiche 2025

Suddivisione database ministeriale

GRUPPI DI QUESITI 1141-1170

1141. Una siringa preriempita con NaCl 0,9% ed eparina destinata dal fabbricante al lavaggio di dispositivi medici come ad esempio i cateteri è:
1142. Degli accoppiamenti sotto indicati, qual è quello corretto?
1143. Quale tra le classi di sostanze elencate ha effetti astringenti?
1144. Quale delle seguenti affermazioni sul metabolismo degli xenobiotici è FALSA?
1145. Quale dei seguenti effetti è prodotto dal verapamil ?
1146. La vitamina A (retinolo) svolge importanti ruoli nei processi
1147. Il farmacista è tenuto ad annotare sull’etichetta, che appone sul recipiente dei medicinali galenici che allestisce in farmacia, se il medicinale deve essere adoperato per uso esterno?
1148. Il Consiglio Direttivo dell'Ordine dei Farmacisti, qualora non sia in grado di funzionare regolarmente, può essere sciolto?
1149. La nifedipina esplica il suo effetto antipertensivo:

1150. Il pioglitazone è un farmaco che appartiene alla classe:
1151. Le seguenti affermazioni sull'omeprazolo sono tutte corrette tranne:
1152. Il regime di dispensazione dei medicinali a base di nimesulide prevede la prescrizione

1153. Per densità apparente di una polvere si intende:
1154. Quale fra i seguenti farmaci è un procinetico gastrico?
1155. I progestinici possono essere utilizzati:
1156. La zidovudina è:
1157. Il Tumor Necrosis Factor alfa (TNF-alfa) si ritiene che svolga un ruolo importante nelle malattie autoimmunitarie ed infiammatorie. Quale tra i seguenti è un anticorpo monoclonale chimerico che si lega al TNF-alfa e ne inibisce l’azione?
1158. Quale delle seguenti affermazioni sulla procaina NON è corretta
1159. Quale tra questi farmaci è ototossico?
1160. Sono dovuti i diritti addizionali previsti dalla tariffa nazionale dei medicinali per la dispensazione di medicinali durante le ore notturne quando la farmacia effettua servizio “a chiamata”?
1161. Quali dei seguenti SSRI è consigliato nel trattamento di stati depressivi associati a disturbi dell'alimentazione?
1162. Quale delle indicazioni seguenti si avvicina maggiormente alla definizione di diuretici? Farmaci che
1163. L’alcalinizzazione dell’urina favorisce l’eliminazione dei farmaci a carattere acido
1164. Cosa sono le compresse orodispersibili?
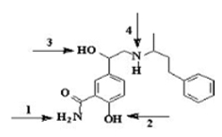
1165. Il composto di cui viene riportata di seguito la formula (labetalolo) si scioglie in soluzioni acquose di acido cloridrico per salificazione del gruppo funzionale indicato nella figura con

1166. In un prodotto cosmetico è ammesso l'uso di tretinoina?
1167. Una crisi ipoglicemica lieve si tratta con:
1168. Quale tra i seguenti NON è un effetto collaterale dei farmaci beta-bloccanti:
1169. Quale tra le caratteristiche sotto elencate differenzia maggiormente la struttura chimica della benzidamina da quella della maggioranza dei FANS

1170. Preparazioni galeniche di capsule contenenti prodotti utilizzati per la dieta di soggetti che praticano lo sport sono attualmente molto frequenti in farmacia. Tra i prodotti utilizzati spesso sono inclusi i cosi detti “amminoacidi ramificati” (BCAA)

TuttoQUIZ.it, il portale dell'apprendimento online

© 2019 Tutti i diritti riservati

 

ASSODOLAB, Associazione Nazionale Docenti di Laboratorio
Ente accreditato e qualificato dal MIUR per la formazione del personale della Scuola - Direttiva 170 del 21/03/2016.
Via Cavour, 74 - 76015 TRINITAPOLI BT - Italy
Telefono 339.2661022 - P. IVA 03039870716

 

PRIVACY: Questo sito utilizza cookie per migliorare servizi ed esperienza dei lettori. MAGGIORI DETTAGLI

DICHIARAZIONE DI NON RESPONSABILITA': Il titolare del sito non si assume alcuna responsabilità per eventuali danni diretti o indiretti derivanti dall'uso delle informazioni presenti nel sito o non aggiornate. L'accesso e l'utilizzo del sito avvengono sotto la responsabilità dell'utente.Tutti i contenuti del sito sono usufruibili in maniera gratuita. Non viene mai richiesto dagli autori del sito di utilizzare carte di credito o altri strumenti di pagamento.