TuttoQUIZ.it

Il portale dell'apprendimento online.

Quiz Assegnazione di Sedi Farmaceutiche 2025

Suddivisione database ministeriale

GRUPPI DI QUESITI 91-120

91. La carbamazepina è il composto rappresentato dalla struttura indicata. La sua attività farmacologica prevalente è

92. La quaternarizzazione dell’atomo di azoto della (-)-(S)iosciamina porta all'ipratropio, sotto rappresentato. Quale effetto farmacologico produce tale variazione?

93. Un medicinale contiene simeticone e alverina citrato. Quale delle affermazioni sotto riportate è corretta
94. Quale è l’attività farmacologica più rilevante che può essere ipotizzata per la struttura indicata riconducibile ad una idantoina?

95. Gli operatori sanitari che rilevano la presenza di difetti o corpi estranei in un medicinale devono:
96. L’indice terapeutico è espresso
97. Dopo la consegna, in caso di necessità e urgenza, di un farmaco assoggettato a prescrizione medica senza presentazione di ricetta medica il farmacista deve:
98. La nitroglicerina viene somministrata per via sublinguale per:
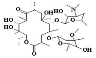
99. Su quale dei bersagli elencati agisce l’eritromicina, avente la struttura indicata?

100. Il captopril può indurre tutti gli effetti indesiderati elencati, TRANNE
101. Dall'iperattivazione di quale delle seguenti regioni cerebrali dipende, almeno in parte, la sindrome di astinenza da oppioidi?
102. E’ consentito l’impiego di alcool metilico nella preparazione di medicinali?
103. Il flumazenil blocca gli effetti di:
104. La idiosincrasia ai farmaci è:
105. La prescrizione di medicinali veterinari non stupefacenti destinata ad animali da compagnia deve essere redatta con Ricetta Veterinaria Elettronica (REV)?
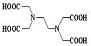
106. L’EDTA avente la struttura indicata è uno dei farmaci utilizzati nel trattamento delle intossicazioni da metalli pesanti. Il suo meccanismo d'azione è dovuto a:

107. La griseofulvina viene commercializzata in forma micronizzata per aumentarne l’area superficiale specifica al fine di incrementare
108. Il suffisso “ triptan “ è tipico della classe dei farmaci:
109. In quale caso è consentita la pubblicità al pubblico di medicinali vendibili solo su presentazione di ricetta medica?
110. Il mifepristone è un farmaco ad attività:
111. La furosemide può aumentare la tossicità di uno dei seguenti farmaci somministrati in concomitanza:
112. L’uso prolungato della nafazolina può provocare:
113. Quale dei composti elencati NON è un antinfettivo chinolonico?
114. Gli acidi micolici sono acidi grassi ad elevato numero di atomi di carbonio che condizionano il comportamento verso i chemioterapici dei
115. Oseltamivir agisce come:
116. Tra i seguenti diuretici scegliere quello che è antagonista competitivo dell'aldosterone:
117. Quando la farmacia allestisce un preparato erboristico deve:
118. Un cerotto transdermico è progettato per garantire che il farmaco veicolato:
119. In quale delle condizioni elencate il titolare di farmacia può essere direttore responsabile della farmacia succursale assegnatagli?
120. Tra le sostanze attive seguenti, quale NON richiede un veicolo oleoso nella forma farmaceutica:

TuttoQUIZ.it, il portale dell'apprendimento online

© 2019 Tutti i diritti riservati

 

ASSODOLAB, Associazione Nazionale Docenti di Laboratorio
Ente accreditato e qualificato dal MIUR per la formazione del personale della Scuola - Direttiva 170 del 21/03/2016.
Via Cavour, 74 - 76015 TRINITAPOLI BT - Italy
Telefono 339.2661022 - P. IVA 03039870716

 

PRIVACY: Questo sito utilizza cookie per migliorare servizi ed esperienza dei lettori. MAGGIORI DETTAGLI

DICHIARAZIONE DI NON RESPONSABILITA': Il titolare del sito non si assume alcuna responsabilità per eventuali danni diretti o indiretti derivanti dall'uso delle informazioni presenti nel sito o non aggiornate. L'accesso e l'utilizzo del sito avvengono sotto la responsabilità dell'utente.Tutti i contenuti del sito sono usufruibili in maniera gratuita. Non viene mai richiesto dagli autori del sito di utilizzare carte di credito o altri strumenti di pagamento.