TuttoQUIZ.it

Il portale dell'apprendimento online.

Quiz Assegnazione di Sedi Farmaceutiche 2025

Suddivisione database ministeriale

GRUPPI DI QUESITI 1291-1320

1291. Quale tra quelli elencati è un acido grasso omega-3?
1292. Qual è l’attività farmacologica che può essere ipotizzata per la cetirizina, di cui si riporta la struttura?

1293. Quale delle indicazioni seguenti è corretta per le Preparazioni liquide per uso cutaneo
1294. La maggior parte delle reazioni metaboliche di fase I è operata da:
1295. Quale dei seguenti effetti collaterali è comunemente ascrivibile agli antistaminici?
1296. Tra gli antibiotici elencati, qual è preferibile utilizzare in pazienti con insufficienza renale?
1297. Quale tra i seguenti farmaci non è un antiasmatico?
1298. Nelle prescrizioni magistrali in cui il medicinale è prescritto per indicazioni terapeutiche diverse da quelle dei medicinali industriali autorizzati a base dello stesso principio attivo, il nome e cognome del paziente
1299. Un antagonista competitivo è qualunque
1300. La vendita di presidi medico-chirurgici non registrati costituisce un illecito
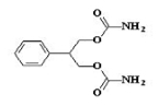
1301. La pilocarpina, avente la struttura indicata, è un alcaloide a nucleo

1302. Metadone e Buprenorfina sono inclusi nell'Allegato IIIbis al DPR 309/90: qualora prescritti nella disassuefazione degli stati di tossicodipendenza
1303. I diuretici dell'ansa provocano una perdita reversibile dell'udito dose-dipendente. Questa ototossicità può essere aggravata da una diminuita funzione renale o dalla concomitante somministrazione di altri farmaci quali
1304. Quale dei farmaci riportati inibisce la sudorazione
1305. Quale enzima, tra quelli sotto elencati, viene bloccato dal disulfiram, utilizzato per la disassuefazione degli etilisti.
1306. Il farmacista deve tenere in farmacia obbligatoriamente alcuni registri tra i quali quello di entrata e uscita per
1307. In quale dei seguenti casi può essere dichiarata la decadenza dall'autorizzazione all’esercizio in forma individuale di una farmacia?
1308. Su quale bersaglio agisce l’eritromicina?
1309. Il vaccino antiepatite B contiene come componente immunogena:
1310. Quale dei seguenti farmaci è impiegato come antiepilettico:

1311. Quale dei seguenti farmaci usati nel reflusso gastroesofageo deve essere preso prima dei pasti e non dopo?
1312. La ridotta tossicità, l’efficacia e la selettività dell’aciclovir dipendono dal fatto che il principio attivo
1313. Il vaccino per la meningite batterica (A, C, Y, W-135) è un vaccino
1314. Indicare quale dei seguenti farmaci antipsicotici ha la più lunga emivita
1315. Il vaccino anti-COVID "Moderna" è un vaccino:
1316. Quale tra questi farmaci non è un bifofonato usato nella terapia dell'osteoporosi?
1317. I test di tossicità cronica servono per valutare:
1318. L’attività antinfiammatoria dell’indometacina è dovuta al fatto che il farmaco
1319. Quale fra i seguenti farmaci viene usato nella terapia ormonale del carcinoma mammario?
1320. A quale categoria di pazienti non deve essere somministrato il fluidificante N-Acetilcisteina? A pazienti che soffrono di:

TuttoQUIZ.it, il portale dell'apprendimento online

© 2019 Tutti i diritti riservati

 

ASSODOLAB, Associazione Nazionale Docenti di Laboratorio
Ente accreditato e qualificato dal MIUR per la formazione del personale della Scuola - Direttiva 170 del 21/03/2016.
Via Cavour, 74 - 76015 TRINITAPOLI BT - Italy
Telefono 339.2661022 - P. IVA 03039870716

 

PRIVACY: Questo sito utilizza cookie per migliorare servizi ed esperienza dei lettori. MAGGIORI DETTAGLI

DICHIARAZIONE DI NON RESPONSABILITA': Il titolare del sito non si assume alcuna responsabilità per eventuali danni diretti o indiretti derivanti dall'uso delle informazioni presenti nel sito o non aggiornate. L'accesso e l'utilizzo del sito avvengono sotto la responsabilità dell'utente.Tutti i contenuti del sito sono usufruibili in maniera gratuita. Non viene mai richiesto dagli autori del sito di utilizzare carte di credito o altri strumenti di pagamento.