TuttoQUIZ.it

Il portale dell'apprendimento online.

Quiz Assegnazione di Sedi Farmaceutiche 2025

Suddivisione database ministeriale

GRUPPI DI QUESITI 1321-1350

1321. Quale dei seguenti farmaci NON attraversa la barriera ematoencefalica?
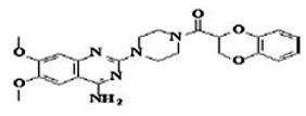
1322. La doxazosina, di cui è riportata la struttura, esplica un meccanismo di azione del tipo:

1323. Quale dei seguenti antibiotici è un potente induttore del CYP450?
1324. Qual è l’attività farmacologica più rilevante che può essere ipotizzata per la clorfenamina?
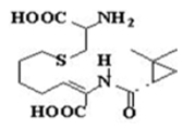
1325. L’imipenem viene spesso utilizzato unitamente ad un secondo farmaco, la cilastatina, avente la struttura indicata, allo scopo di

1326. Quali delle seguenti attività è propria dello psillio (semi di Plantago afra L. o Plantago indica L.)?
1327. La Levodropropizina è
1328. L’ibuprofene può dare interazioni farmacologiche con:
1329. Tutte le seguenti sono caratteristiche delle reazioni avverse di tipo A tranne una, indicare quale:
1330. Il medico deve indicare la data di prescrizione sulla ricetta
1331. Quale fra questi principi attivi non è un mucolitico?
1332. Quale fra questi principi attivi non è un lassativo osmotico?
1333. Nei pazienti con funzionalità epatica compromessa la risposta ai farmaci può subire modificazioni per:
1334. Qual è la ragione per cui il paratormone NON si somministra per os:
1335. Quali fra i seguenti Anti ulcera Anti-H2 è ancora in commercio?
1336. La difenilidantoina viene usata come:
1337. I sulfamidici possono avere, come effetto collaterale
1338. I possibili effetti collaterali dei diuretici dell’ansa sono
1339. Gli inibitori di pompa protonica, a seguito di uso prolungato e/o inappropriato, sono stati associati ad effetti collaterali quali:
1340. Quale tra i seguenti eccipienti per compresse può trovare applicazione come disgregante:
1341. La pubblicità dei prodotti cosmetici
1342. Soltanto le sostanze elencate nella tabella n.3 della Farmacopea Ufficiale devono essere tenute dal farmacista in armadio chiuso a chiave?
1343. Si devono preparare 220 ml di una soluzione idroalcoolica di eosina allo 0,1 %. Entro quale intervallo ricade la quantità di eosina da pesare?
1344. La Tariffa Nazionale dei Medicinali:
1345. In farmacia è obbligatoria la detenzione del registro di entrata e uscita
1346. Quale, tra quelli sotto indicati, costituisce adempimento di legge per la farmacia che abbia smarrito il registro di entrata e uscita degli stupefacenti?
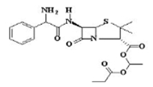
1347. Nella struttura della bacampicillina il doppio estere è stato introdotto per

1348. In quale caso è consentita la prescrizione ad animali da azienda di sostanze ad azione tireostatica?
1349. Quali medicinali iniettabili possono essere consegnati dal farmacista senza presentazione di ricetta medica per prosecuzione della terapia in caso di dimissioni ospedaliere, se ricorrono le condizioni previste dal DM 31.03.2008?
1350. A quale categoria di pazienti non deve essere somministrato l'antiemetico metoclopramide?

TuttoQUIZ.it, il portale dell'apprendimento online

© 2019 Tutti i diritti riservati

 

ASSODOLAB, Associazione Nazionale Docenti di Laboratorio
Ente accreditato e qualificato dal MIUR per la formazione del personale della Scuola - Direttiva 170 del 21/03/2016.
Via Cavour, 74 - 76015 TRINITAPOLI BT - Italy
Telefono 339.2661022 - P. IVA 03039870716

 

PRIVACY: Questo sito utilizza cookie per migliorare servizi ed esperienza dei lettori. MAGGIORI DETTAGLI

DICHIARAZIONE DI NON RESPONSABILITA': Il titolare del sito non si assume alcuna responsabilità per eventuali danni diretti o indiretti derivanti dall'uso delle informazioni presenti nel sito o non aggiornate. L'accesso e l'utilizzo del sito avvengono sotto la responsabilità dell'utente.Tutti i contenuti del sito sono usufruibili in maniera gratuita. Non viene mai richiesto dagli autori del sito di utilizzare carte di credito o altri strumenti di pagamento.