TuttoQUIZ.it

Il portale dell'apprendimento online.

Quiz Assegnazione di Sedi Farmaceutiche 2025

Suddivisione database ministeriale

GRUPPI DI QUESITI 1381-1410

1381. Quale delle affermazioni sotto elencate e riguardanti le cefalosporine è corretta? Passando dalle cefalosporine di prima a quelle di terza generazione
1382. La cefixima è prevalentemente attiva:
1383. Quale fra i seguenti antidiabetici non induce ipoglicemia:
1384. Il meccanismo d'azione delle sulfaniluree prevede
1385. Una capsula misura 1 ha volume interno circa 0,5 mL. Si riempie con polvere composta da principio attivo (densità 0,8 g/mL) ed eccipiente (densità 0,5 g/mL) in rapporto 1:4 (massa farmaco:eccipiente). Qual è la massa totale di polvere nella capsula
1386. L'antidiabetico Dapagliflozin agisce:
1387. Quale delle seguenti affermazioni sulla lidocaina, avente la struttura indicata, è corretta:

1388. Il meccanismo d’azione del topotecan prevede:
1389. In quale delle seguenti patologie può essere utilizzata la bromocriptina?
1390. Il goserelin è indicato per:
1391. I diuretici tiazidici provocano
1392. Quali requisiti deve avere il farmacista direttore di una farmacia gestita in forma societaria?
1393. Quale delle seguenti categorie di capsule non è descritta nella Farmacopea ?
1394. La clorfenamina, avente la struttura riportata, ha come attività farmacologica fondamentale quella

1395. Quale delle seguenti affermazioni è corretta per il Metadone?
1396. Il farmacista che abbia compiuto il sessantesimo anno di età può partecipare al concorso per il conferimento di sedi farmaceutiche?
1397. In quale situazione il farmacista può rifiutare la spedizione di una ricetta medica? Quando
1398. Le antracicline sono farmaci:
1399. Per l'uso di medicinali off label si intende
1400. Qual è la durata di validità della ricetta ripetibile che prescriva medicinali vendibili al pubblico solo su prescrizione di medici specialisti?
1401. Per i dispositivi medico-diagnostici in vitro commercializzati in Italia, le indicazioni fornite dal fabbricante in etichetta e sulle istruzioni per l'uso:
1402. Cosa identifica il numero accanto al marchio CE in un dispositivo medico?
1403. Vildagliptin è
1404. Il principio attivo levonorgestrel e contenuto
1405. Quale dei seguenti principi attivi non viene usato nella terapia del glaucoma
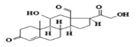
1406. L’aldosterone, avente la struttura indicata, ha un’azione prevalentemente

1407. Ranibizumab è un MAB impiegato per il trattamento di:
1408. Quale è l’attività farmacologica più rilevante che può essere ipotizzata per la struttura parziale indicata riconducibile ad una succinimmide

1409. Quali sono i cortisonici a più lunga durata d'azione?
1410. Levodopa e triesifenidile hanno la stessa indicazione terapeutica. Quale delle affermazioni che le riguardano è corretta

TuttoQUIZ.it, il portale dell'apprendimento online

© 2019 Tutti i diritti riservati

 

ASSODOLAB, Associazione Nazionale Docenti di Laboratorio
Ente accreditato e qualificato dal MIUR per la formazione del personale della Scuola - Direttiva 170 del 21/03/2016.
Via Cavour, 74 - 76015 TRINITAPOLI BT - Italy
Telefono 339.2661022 - P. IVA 03039870716

 

PRIVACY: Questo sito utilizza cookie per migliorare servizi ed esperienza dei lettori. MAGGIORI DETTAGLI

DICHIARAZIONE DI NON RESPONSABILITA': Il titolare del sito non si assume alcuna responsabilità per eventuali danni diretti o indiretti derivanti dall'uso delle informazioni presenti nel sito o non aggiornate. L'accesso e l'utilizzo del sito avvengono sotto la responsabilità dell'utente.Tutti i contenuti del sito sono usufruibili in maniera gratuita. Non viene mai richiesto dagli autori del sito di utilizzare carte di credito o altri strumenti di pagamento.