TuttoQUIZ.it

Il portale dell'apprendimento online.

Quiz Assegnazione di Sedi Farmaceutiche 2025

Suddivisione database ministeriale

GRUPPI DI QUESITI 1411-1440

1411. Chi rilascia l’autorizzazione per detenere in farmacia medicinali a base di costituenti del sangue?
1412. Quale delle seguenti affermazioni riguardanti il principio attivo desclorfeniramina, avente la stuttura indicata, è corretta?

1413. Quali possono essere prodotti naturali ad azione antiparassitaria in campo veterinario?
1414. Il processo di diffusione passiva di un farmaco attraverso una membrana che separa due compartimenti avviene
1415. L’adrenalina che ha la struttura riportata, è conosciuta anche come

1416. Tra i farmaci riportati quale è più indicato nella terapia della sindrome ossessivo-compulsiva?
1417. Su quale dei bersagli elencati agisce l’ampicillina?
1418. Quale fra le seguenti classi di antidiabetici è approvata anche per pazienti che soffrono di insufficienza cardiaca?
1419. Cos’è la sorveglianza del mercato dei dispositivi medici?
1420. L’utilizzazione terapeutica di numerosi principi attivi è correlata alla loro capacità di bloccare particolari sistemi enzimatici. Quale, tra le coppie farmaco - enzima sotto elencate, rappresenta l’enzima ed il corrispondente inibitore?
1421. Il trattamento antivirale approvato per la COVID-19 in pazienti con normale funzione renale (eGFR = 60 ml/min) è costituito da:
1422. Quale delle seguenti modalità di prelievo ematico è corretta ai fini del monitoraggio terapeutico dei farmaci?
1423. Quale delle seguenti caratteristiche di un farmaco IMPEDISCE la sua penetrazione nel sistema nervoso centrale:
1424. Il biperidene ed il triesifenidile sono farmaci
1425. Quale delle seguenti benzodiazepine è dotata della più lunga emivita:
1426. La yohimbina ha la struttura indicata. Essa è un antagonista della noradrenalina sui

1427. Gli operatori sanitari che non comunicano un incidente grave con dispositivo medico al Ministero della Salute:
1428. I tiazolidindioni (glitazoni) agiscono in modo favorevole nel controllo dell’omeostasti glucidica:
1429. Alcuni principi attivi contenuti nella cannabis sativa (canapa indiana) sono stati inseriti

1430. Il sucralfato ha la struttura sotto indicata ed è contenuto in alcuni medicinali utilizzati come antiulcera. Quale delle affermazioni sotto riportate è corretta? Il farmaco

1431. L’effetto di quale dei seguenti farmaci può essere ridotto in caso di somministrazione contemporanea di preparati iperico (Hypericum peforatum L.)?
1432. Il lisinopril viene spesso associato a
1433. E’ ammissibile un contratto di associazione in partecipazione tra il titolare di farmacia ed un terzo?
1434. l test di gravidanda per uso autodiagnostico sono classificabili come:
1435. Qual è il meccanismo d'azione del sofosbuvir?
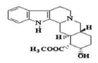
1436. La levodopa, avente la struttura indicata, attraversa la barriera ematoencefalica in quanto

1437. Gli analoghi del GnRH ( Gonadotropin-Releasing Hormon ) sono decapeptidi nei quali la modifica di alcuni aminoacidi causa in genere:
1438. Quale dei seguenti medicinali devono essere sterili e apirogenici?
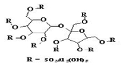
1439. Quale delle seguenti polveri è più idrofila?
1440. L’energia di legame di van der Waals ha un valore medio espresso in KJ mol -1 compreso tra

TuttoQUIZ.it, il portale dell'apprendimento online

© 2019 Tutti i diritti riservati

 

ASSODOLAB, Associazione Nazionale Docenti di Laboratorio
Ente accreditato e qualificato dal MIUR per la formazione del personale della Scuola - Direttiva 170 del 21/03/2016.
Via Cavour, 74 - 76015 TRINITAPOLI BT - Italy
Telefono 339.2661022 - P. IVA 03039870716

 

PRIVACY: Questo sito utilizza cookie per migliorare servizi ed esperienza dei lettori. MAGGIORI DETTAGLI

DICHIARAZIONE DI NON RESPONSABILITA': Il titolare del sito non si assume alcuna responsabilità per eventuali danni diretti o indiretti derivanti dall'uso delle informazioni presenti nel sito o non aggiornate. L'accesso e l'utilizzo del sito avvengono sotto la responsabilità dell'utente.Tutti i contenuti del sito sono usufruibili in maniera gratuita. Non viene mai richiesto dagli autori del sito di utilizzare carte di credito o altri strumenti di pagamento.