TuttoQUIZ.it

Il portale dell'apprendimento online.

Quiz Assegnazione di Sedi Farmaceutiche 2025

Suddivisione database ministeriale

GRUPPI DI QUESITI 1441-1470

1441. Quale dei seguenti farmaci induce sia midriasi che cicloplegia per applicazione topica oculare?
1442. La vendita diretta di medicinali veterinari è consentita ai grossisti?
1443. La ricetta che prescriva medicinali vendibili al pubblico solo su prescrizione di centri ospedalieri è riutilizzabile
1444. I triptani, tra i quali il sumatriptan riportato in struttura, hanno una struttura molecolare riconducibile a quella della:

1445. La piridostigmina, struttura indicata, è usata nella terapia di:

1446. Quale delle seguenti relazioni struttura-attività nel campo dei cortisonici antinfiammatori NON è corretta:

1447. Qual è l’autorità competente al riconoscimento del titolo per l’esercizio della professione di farmacista conseguito all’estero?
1448. Come agisce la fisostigmina avente la struttura riportata?

1449. Tra questi farmaci quale è un anticorpo monoclonale?
1450. Quale dei seguenti recettori e’ accoppiato positivamente all’attività adenilato ciclasica? Il recettore
1451. Un principio attivo che presenti polimorfismo può avere una diversa biodisponibilità farmaceutica?
1452. Per i cosmetici commercializzati in Italia, le indicazioni fornite dal fabbricante in etichetta e sul foglietto di istruzioni:
1453. Quale proprietà, tra quelle sotto riportate, è sicuramente identica per le sostanze polimorfe
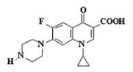
1454. In quale classe di farmaci può essere collocato il principio attivo avente la struttura riportata

1455. Tra i sottoelencati registri e libri, NON è obbligatorio tenere in farmacia:
1456. Le furocumarine sono contenute in diverse specie botaniche tra cui gli agrumi (Citrus spp.). Quale delle seguenti reazioni avverse possono indurre?
1457. La gelificazione di una crema idrofila può essere affidata a:
1458. Tutte le preparazioni iniettabili si devono spedire in farmacia dietro presentazione di ricetta medica. Le preparazioni contenenti particolari principi attivi o aventi utilizzazione specifiche fanno ECCEZIONE a tale regola. Quale, tra quelle sotto i
1459. Gli anticorpi ad uso terapeutico si possono umanizzare?
1460. Un farmaco avente caratteristiche di elettrolita debole, se somministrato per os, è tanto più assorbito dall’organismo quanto più
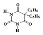
1461. Tenendo presente l’azione farmacologica e quindi la principale utilizzazione terapeutica, indicare, tra quelli sotto riportati, i presidi sanitari nei quali la FU obbliga la presenza di fenobarbital, di cui si riporta la struttura

1462. L’emivita di eliminazione di un farmaco dipende da:
1463. Il corretto flusso delle comunicazioni prevede che i fabbricanti di dispositivi medici ricevano le segnalazioni di incidenti:
1464. Quale dei seguenti antibiotici amminoglicosidici è utilizzato esclusivamente per via topica?
1465. La vendita all’utilizzatore finale di medicinali omeopatici veterinari è riservata alle farmacie?
1466. Una preparazione a base di semi di psillio (Plantago psyllium L.) e frutti di senna (Cassia senna L.) viene utilizzata contro la stitichezza. Quale delle affermazioni riportate è corretta? L’azione lassativa si esplica con meccanismo
1467. Quale dei seguenti beta-lattamici NON è resistente alle beta-lattamasi?
1468. Quali società possono assumere la titolarità di una farmacia?
1469. Per quali sostanze zuccherine la detenzione in farmacia comporta l’obbligo di munirsi di licenza UTIF?
1470. Gli operatori sanitari che omettano di segnalare al Ministero della Salute gli incidenti non gravi con i dispositivi medico-diagnostici in vitro:

TuttoQUIZ.it, il portale dell'apprendimento online

© 2019 Tutti i diritti riservati

 

ASSODOLAB, Associazione Nazionale Docenti di Laboratorio
Ente accreditato e qualificato dal MIUR per la formazione del personale della Scuola - Direttiva 170 del 21/03/2016.
Via Cavour, 74 - 76015 TRINITAPOLI BT - Italy
Telefono 339.2661022 - P. IVA 03039870716

 

PRIVACY: Questo sito utilizza cookie per migliorare servizi ed esperienza dei lettori. MAGGIORI DETTAGLI

DICHIARAZIONE DI NON RESPONSABILITA': Il titolare del sito non si assume alcuna responsabilità per eventuali danni diretti o indiretti derivanti dall'uso delle informazioni presenti nel sito o non aggiornate. L'accesso e l'utilizzo del sito avvengono sotto la responsabilità dell'utente.Tutti i contenuti del sito sono usufruibili in maniera gratuita. Non viene mai richiesto dagli autori del sito di utilizzare carte di credito o altri strumenti di pagamento.