TuttoQUIZ.it

Il portale dell'apprendimento online.

Quiz Assegnazione di Sedi Farmaceutiche 2025

Suddivisione database ministeriale

GRUPPI DI QUESITI 1471-1500

1471. Il manuale di istruzioni per l’uso di un dispositivo per test autodiagnostico deve essere fornito:
1472. Il meccanismo di azione dei chinoloni è dovuto
1473. La malattia di Parkinson è una patologia neurodegenerativa caratterizzata da
1474. La superossido dismutasi è un enzima che
1475. Il farmacista NON è obbligato a tenere in farmacia:
1476. Quale dei seguenti farmaci è indicato nella terapia dei disturbi bipolari del tono dell’umore?
1477. La L-diossifenilalanina (L-DOPA), avente la struttura indicata, ha attività antiparkinson in quanto costituisce uno dei precursori

1478. Quale dei seguenti meccanismi è responsabile della dipendenza da cocaina?
1479. Il comportamento degli additivi utilizzati come preservanti (antimicrobici e antimuffa) è comunemente attribuito ai meccanismi d’azione sotto elencati. I composti aventi struttura analoga a quella indicata nella formula si ritiene che agiscano attra

1480. L’articolo 100 del D. L.vo 24 aprile 2006, n. 219 subordina la distribuzione all’ingrosso di medicinali a specifica autorizzazione rilasciata
1481. L’azione vasodilatatrice dei nitrati, aventi struttura del tipo di quella indicata, è principalmente conseguenza di

1482. Quale di questi farmaci beta-antagonisti NON è cardioselettivo:
1483. Quale delle seguenti affermazioni riguardanti il simeticone è corretta?
1484. Il blocco dei recettori alfa 2 presinaptici cardiaci provoca tachicardia perché
1485. La sindrome di Stevens-Johnson, reazione acuta da ipersensibilità che coinvolge la pelle e le mucose,può verificarsi in corso di trattamento con
1486. La ricostituzione di un liofilizzato può dar luogo a
1487. Una possibile conseguenza farmaco-tossicologica del polimorfismo genetico di un enzima metabolizzante è:
1488. Indicare quale delle seguenti affermazioni è errata?
1489. Un farmacista residente all’estero può chiedere di conservare l’iscrizione all’albo anche se non esercita più la professione in Italia?
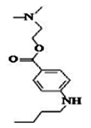
1490. Quale è l’attività farmacologica più rilevante della tetracaina, avente la struttura indicata

1491. Il valore di pH è calcolato matematicamente come:
1492. Nella cellula muscolare liscia l'aumento di cAMP porta a:
1493. L’uso protratto di preparati a base di oximetazolina può indurre:
1494. Quale tra i seguenti farmaci è utilizzato nel trattamento dell’asma ed ha lunga durata d'azione?
1495. Le droghe vegetali e i loro derivati possono essere vendute dal farmacista in farmacia
1496. L’azione dei farmaci glucocorticoidi è mediata dal legame
1497. La sindrome di Reye , che si verifica, anche se raramente in età pediatrica, è stata associata:
1498. Quale dei seguenti diuretici dovrebbe essere più utile in un paziente con edema cerebrale?
1499. Secondo la F.U. in un cerotto transdermico composto da una matrice monostrato o multistrato solida o semisolida, la diffusione del/dei principi attivi alla pelle è regolata:
1500. Quale delle seguenti cefalosporine NON viene assorbita per os?

TuttoQUIZ.it, il portale dell'apprendimento online

© 2019 Tutti i diritti riservati

 

ASSODOLAB, Associazione Nazionale Docenti di Laboratorio
Ente accreditato e qualificato dal MIUR per la formazione del personale della Scuola - Direttiva 170 del 21/03/2016.
Via Cavour, 74 - 76015 TRINITAPOLI BT - Italy
Telefono 339.2661022 - P. IVA 03039870716

 

PRIVACY: Questo sito utilizza cookie per migliorare servizi ed esperienza dei lettori. MAGGIORI DETTAGLI

DICHIARAZIONE DI NON RESPONSABILITA': Il titolare del sito non si assume alcuna responsabilità per eventuali danni diretti o indiretti derivanti dall'uso delle informazioni presenti nel sito o non aggiornate. L'accesso e l'utilizzo del sito avvengono sotto la responsabilità dell'utente.Tutti i contenuti del sito sono usufruibili in maniera gratuita. Non viene mai richiesto dagli autori del sito di utilizzare carte di credito o altri strumenti di pagamento.