TuttoQUIZ.it

Il portale dell'apprendimento online.

Quiz Assegnazione di Sedi Farmaceutiche 2025

Suddivisione database ministeriale

GRUPPI DI QUESITI 1501-1530

1501. Nel ciclo di Krebs l’acido piruvico viene trasformato in
1502. Quale delle seguenti molecole si comporta come composto acido in soluzione acquosa?
1503. Nel sistema oftalmico Ocusert le membrane polimeriche sono costituite da
1504. Indicare quale è l’impiego del potassio acesulfame avente la formula indicata:

1505. Il blocco della trasmissione gangliare provoca:
1506. Quale dei farmaci elencati è anticoagulante per azione antagonista verso la vitamina K
1507. Quale tra le seguenti piante medicinali viene utilizzata nel controllo del peso corporeo:
1508. Quale tipo di legami stabilizza la struttura secondaria delle proteine?
1509. Quali delle seguenti forme farmaceutiche è a rilascio modificato?
1510. L'mRNA è:
1511. La violazione del provvedimento che disciplina i turni e orari della farmacia è un illecito:
1512. L’azione antiepilettica della fenitoina, avente la struttura indicata, è dovuta principalmente

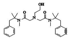
1513. La oxetacaina è un anestetico locale avente la struttura indicata. Quale delle affermazioni sottoriportate è corretta? L’ oxetacaina

1514. Quali sono i medicinali omeopatici che possono essere pubblicizzati al pubblico
1515. Per quanto tempo deve essere conservato da parte del farmacista copia del buono acquisto?
1516. La mepivacaina, avente la struttura riportata, esercita la sua azione anestetica locale

1517. Per quale periodo deve essere conservata una ricetta magistrale a base di una o più sostanze dopanti, soggette a trasmissione dei dati:
1518. La vendita di sostanze velenose per uso diverso da quello terapeutico (industriale, professionale o agricolo), è subordinata alla registrazione della sostanza velenosa da parte del farmacista in un apposito registro?
1519. Quale delle affermazioni seguenti che riguardano la fexofenadina è corretta?
1520. Quale delle seguenti sostanze è la più efficace nell’alleviare i sintomi delle crisi di astinenza negli eroinomani?
1521. Il meccanismo d’azione della simvastatina può essere descritto come
1522. Chi può assumere la titolarità dell’esercizio di una farmacia privata?
1523. La ricetta medica per la prescrizione di medicinali veterinari è obbligatoria
1524. La sulfasalazina ha la struttura indicata. Quale delle affermazioni sotto riportate e ad essa riferite è corretta:

1525. I medicinali dispensati in forma di aerosol contengono, generalmente, come propellente
1526. E' consentito effettuare delle correzioni sul registro di carico e scarico degli stupefacenti?
1527. Quale dei parametri indicati è un indice della potenza di un farmaco:
1528. ll farmacista ha l’obbligo di conservare in forma cartacea le ricette medico veterinarie non ripetibili rilasciate per animali da compagnia?
1529. Per quali medicinali il prezzo di vendita al pubblico è fissato dalla ”tariffa nazionale per la vendita al pubblico dei medicinali”?
1530. L’interferone beta1b si somministra:

TuttoQUIZ.it, il portale dell'apprendimento online

© 2019 Tutti i diritti riservati

 

ASSODOLAB, Associazione Nazionale Docenti di Laboratorio
Ente accreditato e qualificato dal MIUR per la formazione del personale della Scuola - Direttiva 170 del 21/03/2016.
Via Cavour, 74 - 76015 TRINITAPOLI BT - Italy
Telefono 339.2661022 - P. IVA 03039870716

 

PRIVACY: Questo sito utilizza cookie per migliorare servizi ed esperienza dei lettori. MAGGIORI DETTAGLI

DICHIARAZIONE DI NON RESPONSABILITA': Il titolare del sito non si assume alcuna responsabilità per eventuali danni diretti o indiretti derivanti dall'uso delle informazioni presenti nel sito o non aggiornate. L'accesso e l'utilizzo del sito avvengono sotto la responsabilità dell'utente.Tutti i contenuti del sito sono usufruibili in maniera gratuita. Non viene mai richiesto dagli autori del sito di utilizzare carte di credito o altri strumenti di pagamento.