TuttoQUIZ.it

Il portale dell'apprendimento online.

Quiz Assegnazione di Sedi Farmaceutiche 2025

Suddivisione database ministeriale

GRUPPI DI QUESITI 1591-1620

1591. In un cosmetico, secondo il Regolamento (CE) n. 1223/2009, i coloranti ammessi sono quelli
1592. A quale classe farmacologica appartiene la terazosina?
1593. Quale degli effetti riportati si manifesta in caso di intossicazione acuta da alcol etilico
1594. Quali medicinali possono costituire oggetto di pubblicità presso il pubblico?
1595. Per quanto tempo gli eredi possono gestire provvisoriamente la farmacia ereditata?
1596. Che cosa il farmacista è tenuto ad apporre sull’etichetta dei medicinali galenici allestiti in farmacia quando si tratti di rimedi per cura di animali?
1597. Il propafenone è un farmaco
1598. Le indagine diagnostiche attraverso la Risonanza Magnetica Nucleare (RMN) utilizzano radiazioni elettromagnetiche che, rispetto ai valori che rientrano nel campo del visibile, sono
1599. A quale classe di farmaci viene riferito il suffisso “tiazide” nella Denominazione Comune?
1600. Gli utili o le perdite del bilancio di una farmacia possono essere ricavati:
1601. Cos’è la ioduria?
1602. Una farmacia viene classificata come “urbana” se situata in un
1603. Indicare quali tra i seguenti polimeri sono utilizzati preferenzialmente per la preparazione di sistemi terapeutici microparticellari biodegradabili per uso parenterale:
1604. Quale delle affermazioni sotto elencate e riguardanti le cefalosporine è corretta? Passando dalle cefalosporine di prima a quelle di terza generazione
1605. Nell’interazione farmaco-recettore entrano in gioco legami che possono avere natura diversa. Quale, tra i tipi di legame sotto elencati, si riscontra con maggiore frequenza nei farmaci a più elevata tossicità? Il legame
1606. Nella struttura dei triptani, tra i quali il rizatriptan riportato in struttura, è presente il biciclo:

1607. Quale delle indicazioni seguenti si avvicina maggiormente alla definizione di bersaglio d’azione degli antibiotici beta-lattamici?
1608. Quale dei seguenti farmaci è un inibitore della SGLT2, utilizzato nel trattamento del diabete di tipo 2
1609. Le interazioni farmacologiche tra succo di pompelmo e farmaci possono portare a:
1610. Quale delle seguenti sostanze è un anticoagulante ad azione diretta?
1611. Allo scopo di prolungare l’attività dell'acetazolamide, avente la struttura indicata, per terapie superiori a tre giorni, è necessario provvedere alla somministrazione continua di

1612. Le interleuchine sono
1613. Biodisponibilità è un termine utilizzato per indicare
1614. Gli enzimi elencati partecipano al metabolismo della dopamina nell’organismo. Quale di essi è responsabile della sua trasformazione in altro neurotrasmettitore?
1615. Il termine porosità per la forma farmaceutica compresse è legato
1616. Quale dei seguenti farmaci è usato per il trattamento della depressione maggiore e agisce come inibitore della ricaptazione della serotonina e della noradrenalina (SNRI)?
1617. A quale classe di farmaci viene riferito il suffisso “fibrato” nella Denominazione Comune?
1618. Quale attività presenta il pindololo avente la struttura indicata?

1619. Le norme di attuazione concernenti la classificazione, l'imballaggio e l'etichettatura delle sostanze e dei preparati pericolosi
1620. Quali sono le classi di rischio dei dispositivi medici?

TuttoQUIZ.it, il portale dell'apprendimento online

© 2019 Tutti i diritti riservati

 

ASSODOLAB, Associazione Nazionale Docenti di Laboratorio
Ente accreditato e qualificato dal MIUR per la formazione del personale della Scuola - Direttiva 170 del 21/03/2016.
Via Cavour, 74 - 76015 TRINITAPOLI BT - Italy
Telefono 339.2661022 - P. IVA 03039870716

 

PRIVACY: Questo sito utilizza cookie per migliorare servizi ed esperienza dei lettori. MAGGIORI DETTAGLI

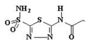
DICHIARAZIONE DI NON RESPONSABILITA': Il titolare del sito non si assume alcuna responsabilità per eventuali danni diretti o indiretti derivanti dall'uso delle informazioni presenti nel sito o non aggiornate. L'accesso e l'utilizzo del sito avvengono sotto la responsabilità dell'utente.Tutti i contenuti del sito sono usufruibili in maniera gratuita. Non viene mai richiesto dagli autori del sito di utilizzare carte di credito o altri strumenti di pagamento.