TuttoQUIZ.it

Il portale dell'apprendimento online.

Quiz Assegnazione di Sedi Farmaceutiche 2025

Suddivisione database ministeriale

GRUPPI DI QUESITI 1621-1650

1621. Qual è il principale meccanismo d'azione delle statine?
1622. Quale classe di farmaci, tra quelle elencate, NON trova impiego nella terapia dell’asma bronchiale?
1623. Quale dei seguenti farmaci è un inibitore della proteasi utilizzato nel trattamento dell'HIV?
1624. Quale, tra gli effetti elencati, può essere provocato da dosi elevate di barbiturici?
1625. Nelle psicosi maniacodepressive si usa:
1626. I farmaci anti-MAO possono essere antidepressivi. La terapia con questa classe di farmaci impone numerose cautele. Quale delle affermazioni elencate è corretta
1627. Quale dei recettori indicati non è attualmente ritenuto bersaglio dei farmaci antiemetici?
1628. I principi attivi di un medicinale sono: paracetamolo, fenilpropanolamina e clorfenamina. Sono presenti farmaci
1629. Un medicinale contiene ketorolac avente la formula indicata. Quale, tra le affermazioni che lo riguardano, è corretta?

1630. Il peginterferone alfa-2b è:
1631. Quale farmaco è utilizzato come trattamento di prima linea nell'ipertensione polmonare primaria?
1632. Un farmaco ha un ridotto indice terapeutico quando
1633. I diuretici tiazidici sono controindicati nei pazienti che assumono Li+ in quanto
1634. Quale dei seguenti farmaci non è un anticoagulante diretto?
1635. Quale delle seguenti rappresenta una controindicazione all’uso dei bifosfonati?
1636. Quale delle seguenti affermazioni è corretta per i glicosidi digitalici?
1637. Qual è il meccanismo d’azione dell’infliximab?
1638. Quale è l’età minima dell'acquirente richiesta per la consegna di medicinali stupefacenti?
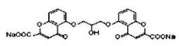
1639. Il sodio cromoglicato ha la struttura indicata. Quale delle seguenti affermazioni riguardanti il medicinale antiasmatico che lo contiene è errata: il principio attivo

1640. La Leshmania può contagiare l'uomo?
1641. Il suffisso “ setron “ è tipico della classe dei farmaci:
1642. E' consentita l'importazione di medicinali non autorizzati all'immissione in commercio in Italia?
1643. E’ consentita la pubblicità delle farmacie?
1644. Quale classe di farmaci può causare una sindrome serotoninergica se combinata con SSRI?
1645. Il volume di distribuzione (Vd) di un farmaco dipende principalmente da:
1646. Gli antagonisti dei recettori 5-HT3 possono essere impiegati in terapia come:
1647. L’acido 7-ACA è costituito dalla fusione di due anelli, uno è beta-lattamico, l’altro è

1648. In un comune con una popolazione di 10.000 abitanti qual è il numero complessivo di farmacie che possono essere istituite sulla base dei diversi criteri previsti dalla legge?
1649. Quale delle affermazioni seguenti, riguardanti la cascata dell’acido arachidonico, è errata? L’azione della
1650. Lo spironolattone, avente la struttura indicata, è un farmaco ad azione

TuttoQUIZ.it, il portale dell'apprendimento online

© 2019 Tutti i diritti riservati

 

ASSODOLAB, Associazione Nazionale Docenti di Laboratorio
Ente accreditato e qualificato dal MIUR per la formazione del personale della Scuola - Direttiva 170 del 21/03/2016.
Via Cavour, 74 - 76015 TRINITAPOLI BT - Italy
Telefono 339.2661022 - P. IVA 03039870716

 

PRIVACY: Questo sito utilizza cookie per migliorare servizi ed esperienza dei lettori. MAGGIORI DETTAGLI

DICHIARAZIONE DI NON RESPONSABILITA': Il titolare del sito non si assume alcuna responsabilità per eventuali danni diretti o indiretti derivanti dall'uso delle informazioni presenti nel sito o non aggiornate. L'accesso e l'utilizzo del sito avvengono sotto la responsabilità dell'utente.Tutti i contenuti del sito sono usufruibili in maniera gratuita. Non viene mai richiesto dagli autori del sito di utilizzare carte di credito o altri strumenti di pagamento.