TuttoQUIZ.it

Il portale dell'apprendimento online.

Quiz Assegnazione di Sedi Farmaceutiche 2025

Suddivisione database ministeriale

GRUPPI DI QUESITI 1651-1680

1651. Il rituximab è un anticorpo monoclonale diretto contro:
1652. Molti sali di calcio trovano applicazione in terapia. Tra le sequenze di sali sotto indicate qual è quella che esprime un contenuto DECRESCENTE di calcio quando si somministrano quantità equiponderali dei sali riportati?

1653. La ciclofosfamide esercita la sua azione antitumorale attraverso:
1654. Il monossido di carbonio è un inquinante ambientale prodotto principalmente dal traffico veicolare. Quali degli effetti descritti possono essere indotti da questa sostanza?
1655. Le proteine trimeriche che legano il GTP (proteine G):
1656. Quale farmaco agisce bloccando la ricaptazione della noradrenalina e dopamina ma non della serotonina?
1657. La durata complessiva della sostituzione del titolare di farmacia per infermità NON può superare un periodo continuativo di:
1658. Il vaccino antimorbillo è costituito da:
1659. Quale farmaco può causare iperplasia gengivale come effetto collaterale?
1660. La levodopa, avente la struttura indicata, presenta attività antiparkinson in quanto

1661. Il prodotto finale della glicolisi è
1662. La formulazione di preparati allestibili in multiplo in farmacia deve essere necessariamente riportata:
1663. I diuretici inibitori dell'anidrasi carbonica sono impiegati comunemente per la cura del glaucoma in quanto
1664. La tachifilassi è :
1665. Quale, tra i farmaci antimicrobici seguenti, agisce sulla parete cellulare batterica
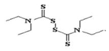
1666. Il disulfiram, indicato nella struttura, è in grado di bloccare un particolare sistema enzimatico. Quale, tra quelli sotto elencati?

1667. Qual è il bersaglio terapeutico del bevacizumab?
1668. Per quanti anni dalla data dell’ultima registrazione deve obbligatoriamente essere conservato il registro stupefacenti?
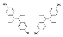
1669. Le due strutture sotto riportate appartengono alla classe degli estrogeni. Esse rappresentano

1670. La cocaina, rappresentata in struttura, ha caratteristiche

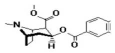
1671. La separazione degli enantiomeri dell’ibuprofene (struttura indicata) è possibile, ma la utilizzazione come principio attivo del medicinale di uno dei due enantiomeri NON è frequente in quanto

1672. Quale delle indicazioni seguenti si avvicina maggiormente alla definizione di ipervitaminosi?
1673. La classificazione ai fini della fornitura del medicinale omeopatico in commercio perché già presenti sul mercato italiano alla data del 6/6/1995 prevede:
1674. Di cosa deve essere dotata la farmacia ove si preparino medicinali galenici iniettabili
1675. I diuretici osmotici sono impiegati in tutte le condizioni indicate tranne una: indicare quale
1676. Il tamoxifene agisce come:
1677. I farmaci tocolitici sono farmaci che
1678. La morfina provoca:
1679. Nella preparazione delle compresse, gli eccipienti che vengono aggiunti alle polveri allo scopo di far raggiungere alla compressa un peso congruo prendono il nome di “diluenti”. Quale tra le sostanze sotto indicate rientra in tale categoria
1680. Quale dei seguenti principi attivi è impiegato nei confronti di Pseudomonas aeruginosa ?

TuttoQUIZ.it, il portale dell'apprendimento online

© 2019 Tutti i diritti riservati

 

ASSODOLAB, Associazione Nazionale Docenti di Laboratorio
Ente accreditato e qualificato dal MIUR per la formazione del personale della Scuola - Direttiva 170 del 21/03/2016.
Via Cavour, 74 - 76015 TRINITAPOLI BT - Italy
Telefono 339.2661022 - P. IVA 03039870716

 

PRIVACY: Questo sito utilizza cookie per migliorare servizi ed esperienza dei lettori. MAGGIORI DETTAGLI

DICHIARAZIONE DI NON RESPONSABILITA': Il titolare del sito non si assume alcuna responsabilità per eventuali danni diretti o indiretti derivanti dall'uso delle informazioni presenti nel sito o non aggiornate. L'accesso e l'utilizzo del sito avvengono sotto la responsabilità dell'utente.Tutti i contenuti del sito sono usufruibili in maniera gratuita. Non viene mai richiesto dagli autori del sito di utilizzare carte di credito o altri strumenti di pagamento.