TuttoQUIZ.it

Il portale dell'apprendimento online.

Quiz Assegnazione di Sedi Farmaceutiche 2025

Suddivisione database ministeriale

GRUPPI DI QUESITI 1681-1710

1681. Quale, tra i diuretici elencati, NON modifica la capacità del rene di concentrare le urine?
1682. Il cloramfenicolo, avente la struttura indicata, nella terapia a lungo termine provoca come principale effetto collaterale

1683. Quale delle classi di farmaci elencate presenta effetti ipoglicemizzanti?
1684. I sali di litio vengono utilizzati
1685. I sartani agiscono come antiipertensivi in quanto sono:
1686. Il metotrexato agisce principalmente:
1687. Gli analoghi del GnRH ( Gonadotropin-Releasing Hormon ) (leuprorelin, goserelin, triptorelin, buserelin) si somministrano in genere per via:
1688. Quale dei seguenti sali fornirà più verosimilmente una soluzione acquosa con un pH inferiore a 7 ?
1689. Quale tra i seguenti è un antidoto specifico per avvelenamento da benzodiazepine?
1690. I Tween sono esteri di sorbitani, aventi la struttura indicata, dove uno o più gruppi R1, R2 ed R3 corrispondono a residui poliossietilenici e R a residui acilici di diversa natura. I Tween sono individuabili con un numero che varia al variare di R.

1691. In un prodotto cosmetico è ammesso l'uso di glucocorticoidi?
1692. La distruzione degli stupefacenti scaduti deve essere sempre effettuata dall'A.S.L. di appartenza della farmacia?
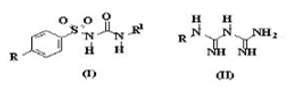
1693. Qual è la via di somministrazione impiegata per le sulfaniluree (I) e le biguanidi (II)?

1694. Quale dei seguenti è un inibitore della tirosin chinasi BCR-ABL?
1695. Quale delle affermazioni seguenti, riguardanti le sostanze utilizzate per impedire la crescita di muffe nelle preparazioni acquose farmaceutiche, è corretta?

1696. In un prodotto cosmetico deve essere indicata sulla confezione la durata minima?
1697. Quale dei seguenti agenti è un antagonista selettivo della serotonina e previene la nausea e il vomito provocato da trattamenti chemioterapici
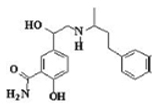
1698. La levodopa è un farmaco utilizzato nella terapia:
1699. Il meccanismo d’azione principale della levodopa prevede:
1700. La simvastatina induce una diminuzione dei livelli di colesterolo plasmatico in quanto

1701. I maggiori effetti collaterali della colestiramina e dei farmaci della classe a cui appartiene sono
1702. Ai fini della qualità di una preparazione galenica magistrale costituiscono parametri critici:
1703. A quale classe di farmaci viene riferito il prefisso “sulfa” nella Denominazione Comune?
1704. L’acidificazione dell’ urina favorisce l’eliminazione dei farmaci a carattere basico perchè:
1705. Il labetalolo ha la struttura indicata. Esso contiene nella catena

1706. La trinitroglicerina, avente la struttura indicata, è usata nel trattamento dell’angina pectoris. La sua attività è dovuta al fatto che nell’organismo libera

1707. La colchicina è un

1708. Le benzodiazepine agiscono sulla trasmissione
1709. Quale fra questi farmaci anti-HIV è un inibitore non nucleosidico della trascrittasi inversa (NNRTI)?
1710. La pericolosità di un farmaco durante l’allattamento è determinata da:

TuttoQUIZ.it, il portale dell'apprendimento online

© 2019 Tutti i diritti riservati

 

ASSODOLAB, Associazione Nazionale Docenti di Laboratorio
Ente accreditato e qualificato dal MIUR per la formazione del personale della Scuola - Direttiva 170 del 21/03/2016.
Via Cavour, 74 - 76015 TRINITAPOLI BT - Italy
Telefono 339.2661022 - P. IVA 03039870716

 

PRIVACY: Questo sito utilizza cookie per migliorare servizi ed esperienza dei lettori. MAGGIORI DETTAGLI

DICHIARAZIONE DI NON RESPONSABILITA': Il titolare del sito non si assume alcuna responsabilità per eventuali danni diretti o indiretti derivanti dall'uso delle informazioni presenti nel sito o non aggiornate. L'accesso e l'utilizzo del sito avvengono sotto la responsabilità dell'utente.Tutti i contenuti del sito sono usufruibili in maniera gratuita. Non viene mai richiesto dagli autori del sito di utilizzare carte di credito o altri strumenti di pagamento.