TuttoQUIZ.it

Il portale dell'apprendimento online.

Quiz Assegnazione di Sedi Farmaceutiche 2025

Suddivisione database ministeriale

GRUPPI DI QUESITI 1801-1830

1801. Che cosa indica la tabella n.7 della Farmacopea Ufficiale?
1802. Quale delle seguenti affermazioni è corretta? I calcioantagonisti possono
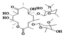
1803. Su quale dei bersagli elencati agisce l’eritromicina, avente la struttura indicata?

1804. L’acqua per preparazioni iniettabili può essere ottenuta per
1805. Le reazioni avverse di tipo A:
1806. Qual è il meccanismo d'azione del maraviroc nel trattamento dell'HIV?
1807. Quale tra i seguenti farmaci antitumorali è un anticorpo monoclonale diretto contro HER2, usato nel trattamento del carcinoma mammario HER2-positivo?
1808. La alfuzosina esplica il suo effetto antipertensivo mediante
1809. Uno degli effetti collaterali più gravi delle statine è:
1810. L’acetazolamide, un inibitore dell’anidrasi carbonica, può determinare alcalinizzazione delle urine che può diminuire la velocità di escrezione di alcuni farmaci come
1811. La fosfatidilcolina è un tensioattivo:
1812. Qual è il meccanismo d'azione della lidocaina?
1813. Quale è la normativa che disciplina il settore dei Dispositivi Medici applicabile dal 26 maggio 2021?
1814. Le fibre solubili vengono utilizzate come lassativi di massa. Quale raccomandazione è necessario fornire?
1815. Un farmaco basico nella sua forma protonata ha un pKa = 7. Quando esso entra in una cellula dove il valore del pH è inferiore di una unità rispetto a quello del fluido extracellulare, la concentrazione della forma ionizzata
1816. La struttura riportata è riconducibile alla classe delle biguanidi. Qual è la corrispondente indicazione terapeutica?

1817. Quale farmaco, tra quelli elencati, è un induttore farmaco-metabolico?
1818. L’etichetta dei dispositivi per test autodiagnostici deve contenere:
1819. L’acidificazione dell’urina favorisce l’eliminazione dei farmaci a carattere basico
1820. La nafazolina nitrato può essere applicata alla mucosa nasale per indurre
1821. Quale dei farmaci elencati NON appartiene alla classe degli antidepressivi triciclici
1822. I preparati officinali su scala ridotta si possono allestire:
1823. A chi viene proposto “in primis” l’affidamento di un dispensario farmaceutico?
1824. Da chi è stabilito il prezzo di vendita al pubblico dei medicinali per uso umano rimborsabili dal Servizio Sanitario Nazionale?
1825. Il naloxone possiede la struttura indicata e costituisce il principio attivo di un medicinale in commercio in forma di fiale iniettabili. Quale delle affermazioni seguenti sul medicinale in questione è corretta?

1826. La lanolina anidra si definisce come:
1827. Le sostanze elencate nella tabella n.2 della F.U. devono essere tenute dal farmacista in armadio chiuso a chiave?
1828. L’operatore sanitario è tenuto ad inviare la segnalazione di incidente grave con dispositivi medicodiagnostici in vitro
1829. Secondo la F.U. la densità da compattazione si ottiene compattando meccanicamente un campione di polvere contenuto in:
1830. Il trimetoprim, la pirimetamina, il metotrexato, in qualità di inibitori delle diidrofolato reduttasi, sono usati rispettivamente come antibatterico, antiprotozoario e antitumorale. La loro selettività è dovuta a

TuttoQUIZ.it, il portale dell'apprendimento online

© 2019 Tutti i diritti riservati

 

ASSODOLAB, Associazione Nazionale Docenti di Laboratorio
Ente accreditato e qualificato dal MIUR per la formazione del personale della Scuola - Direttiva 170 del 21/03/2016.
Via Cavour, 74 - 76015 TRINITAPOLI BT - Italy
Telefono 339.2661022 - P. IVA 03039870716

 

PRIVACY: Questo sito utilizza cookie per migliorare servizi ed esperienza dei lettori. MAGGIORI DETTAGLI

DICHIARAZIONE DI NON RESPONSABILITA': Il titolare del sito non si assume alcuna responsabilità per eventuali danni diretti o indiretti derivanti dall'uso delle informazioni presenti nel sito o non aggiornate. L'accesso e l'utilizzo del sito avvengono sotto la responsabilità dell'utente.Tutti i contenuti del sito sono usufruibili in maniera gratuita. Non viene mai richiesto dagli autori del sito di utilizzare carte di credito o altri strumenti di pagamento.