TuttoQUIZ.it

Il portale dell'apprendimento online.

Quiz Assegnazione di Sedi Farmaceutiche 2025

Suddivisione database ministeriale

GRUPPI DI QUESITI 1861-1890

1861. La Tariffa Nazionale per la vendita al pubblico dei medicamenti prevede un supplemento quando nel medicamento sono presenti sostanze
1862. Le indagine diagnostiche attraverso i Raggi X utilizzano radiazioni elettromagnetiche che, rispetto ai valori che rientrano nel campo del visibile, sono
1863. Quali delle seguenti affermazioni è corretta?
1864. Quale dei seguenti farmaci induce tolleranza?
1865. In quale tipo di shock l’adrenalina rappresenta il farmaco più indicato
1866. Quale delle seguenti caratteristiche della penicillina G NON corrisponde alla realtà? La penicillina G
1867. Per valutare adeguatamente l'ottimizzazione delle scorte in un magazzino di farmacia, i fattori da considerare sono:
1868. Qual è l’importo del diritto addizionale previsto dalla tariffa nazionale dei medicinali per la dispensazione di medicinali durante il turno di apertura festivo?
1869. E’ obbligatorio per il farmacista riportare gli estremi del verbale di distruzione degli stupefacenti nel relativo registro entrata e uscita?
1870. Qual è l’intervallo di tempo massimo entro il quale le commissioni ispettive debbono ispezionare le farmacie (fatta eccezione per le ispezioni veterinarie)?
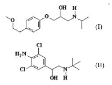
1871. I composti metoprololo (I) e clenbuterolo (II) agiscono sul sistema ortosimpatico. Quale delle affermazioni elencate è corretta? Il composto

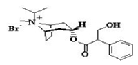
1872. L' impiego più comune di ipratropio, avente la struttura indicata, prevede la somministrazione per via

1873. La vendita all’utilizzatore finale di medicinali veterinari non sottoposti all’obbligo di ricetta medica è riservata alle farmacie
1874. L’olio essenziale di eucalipto, ricavato dalle foglie di diverse specie di Eucalyptus:
1875. Quale delle seguenti affermazioni su Serenoa repens Small. è corretta:
1876. Quale dei seguenti anestetici localI ha una struttura esterea ed è metabolizzato da esterasi plasmatiche?
1877. L’acido benzoico viene metabolizzato per coniugazione con la glicina a
1878. Un medicinale omeopatico è soggetto, ai fini dell'immissione in commercio, ad una procedura semplificata di registrazione:
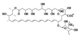
1879. L’amfotericina B, avente la struttura indicata, è il farmaco di scelta per il trattamento di

1880. Quale tra questi farmaci è un macrolide?
1881. Il farmacista è tenuto a conservare copia del buonoacquisto stupefacenti conforme al DM 18.12.2006?
1882. I recettori NMDA:
1883. Tutti i farmaci elencati NON inducono resistenza, TRANNE:
1884. Il farmacista è tenuto ad apporre l’etichetta sugli involucri dei medicinali galenici allestiti in farmacia?
1885. Quale tra i seguenti è un inibitore della proteina PD-1, che agisce come checkpoint immunitario?
1886. Quale delle seguenti sostanze è usata come agente di viscosità?
1887. In un prodotto cosmetico è ammesso l'impiego di tetracaina?
1888. Il pH di una soluzione 10-3 M di HCl è pari a
1889. L'indicazione della funzione del prodotto cosmetico:
1890. Ai sensi del Regolamento (CE) n. 1223/2009 il contenuto nominale al momento del confezionamento del prodotto cosmetico deve essere indicato

TuttoQUIZ.it, il portale dell'apprendimento online

© 2019 Tutti i diritti riservati

 

ASSODOLAB, Associazione Nazionale Docenti di Laboratorio
Ente accreditato e qualificato dal MIUR per la formazione del personale della Scuola - Direttiva 170 del 21/03/2016.
Via Cavour, 74 - 76015 TRINITAPOLI BT - Italy
Telefono 339.2661022 - P. IVA 03039870716

 

PRIVACY: Questo sito utilizza cookie per migliorare servizi ed esperienza dei lettori. MAGGIORI DETTAGLI

DICHIARAZIONE DI NON RESPONSABILITA': Il titolare del sito non si assume alcuna responsabilità per eventuali danni diretti o indiretti derivanti dall'uso delle informazioni presenti nel sito o non aggiornate. L'accesso e l'utilizzo del sito avvengono sotto la responsabilità dell'utente.Tutti i contenuti del sito sono usufruibili in maniera gratuita. Non viene mai richiesto dagli autori del sito di utilizzare carte di credito o altri strumenti di pagamento.