TuttoQUIZ.it

Il portale dell'apprendimento online.

Quiz Assegnazione di Sedi Farmaceutiche 2025

Suddivisione database ministeriale

GRUPPI DI QUESITI 1891-1920

1891. I farmaci diuretici furosemide e piretanide inibiscono il simporto Na+, K+, 2Cl-. Ciò avviene a livello del
1892. Quale attività farmacologica, tra quelle indicate, ha la lidocaina, avente la struttura indicata?

1893. Uno dei più comuni effetti collaterali delle antracicline è:
1894. Tra gli antagonisti muscarinici troviamo degli alcaloidi come la
1895. Quale tra questi farmaci è un inibitore delle topoisomerasi II?
1896. Quale delle seguenti affermazioni riguardanti l’amfetamina è corretta?
1897. Si può ricorrere all'uso in deroga in assenza di un medicinale veterinario autorizzato per una particolare specie animale?
1898. Il flumazenil
1899. Quale dei seguenti prodotti NON viene usato come isotonizzante nella preparazione delle forme farmaceutiche liquide?
1900. Il sorafenib è:
1901. La fluoxetina, avente la struttura indicata

1902. Il gene è
1903. Quale tra i seguenti antibiotici agisce inibendo la DNA girasi?
1904. Quale delle proprietà sotto riportate è sicuramente identica per le sostanze polimorfe
1905. Quante volte è spedibile una ricetta ripetibile che prescrive medicinali veterinari non stupefacenti?
1906. Quali fra le seguenti condizioni consente al farmacista, in caso di necessità e urgenza, di consegnare un medicinale assoggettato a prescrizione medica senza presentazione della relativa ricetta?
1907. Quale farmaco antineoplastico agisce stabilizzando i microtubuli?
1908. Quale tra questi FANS è un inibitore selettivo delle COX-2?
1909. L’acido acetilsalicilico viene completamente metabolizzato. Oltre all’acido salicilico derivante dalla disacetilazione, quali altri cataboliti prendono origine?
1910. Il clofibrato, avente la struttura indicata, è indicato nelle iperlipidemie gravi in quanto

1911. Il meccanismo d’azione dell' alprazolam è:
1912. Quale dei seguenti impieghi terapeutici non è previsto per i farmaci beta-bloccanti:
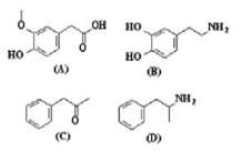
1913. Delle combinazioni sotto riportate, riguardanti le quattro strutture A, B, C e D che rappresentano due farmaci ed i corrispondenti metaboliti, individuare quella che si riferisce ai metaboliti

1914. Le preparazioni contenenti sostanze velenose possono essere dispensate
1915. Quale tra i seguenti antibiotici è associato a rischio di ototossicità e nefrotossicà?
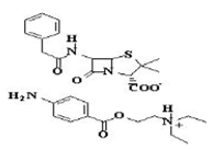
1916. La combinazione delle due molecole aventi la struttura sotto indicata prende il nome di benzilpenicillinaprocaina. Essa costituisce una penicillina

1917. I messaggeri chimici che agiscono nell’organismo vengono demoliti metabolicamente. Da quale di essi deriva il composto avente la formula rappresentata a lato e che corrisponde all’acido omovanillico (HVA)?

1918. Quale farmaco agisce su Mycobacterium tuberculosis interferendo con la RNA-polimerasi?
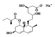
1919. Un medicinale contiene la pravastatina avente la struttura indicata. Quale delle seguenti affermazioni è corretta?

1920. Chi approva la tariffa nazionale per la vendita al pubblico dei medicinali?

TuttoQUIZ.it, il portale dell'apprendimento online

© 2019 Tutti i diritti riservati

 

ASSODOLAB, Associazione Nazionale Docenti di Laboratorio
Ente accreditato e qualificato dal MIUR per la formazione del personale della Scuola - Direttiva 170 del 21/03/2016.
Via Cavour, 74 - 76015 TRINITAPOLI BT - Italy
Telefono 339.2661022 - P. IVA 03039870716

 

PRIVACY: Questo sito utilizza cookie per migliorare servizi ed esperienza dei lettori. MAGGIORI DETTAGLI

DICHIARAZIONE DI NON RESPONSABILITA': Il titolare del sito non si assume alcuna responsabilità per eventuali danni diretti o indiretti derivanti dall'uso delle informazioni presenti nel sito o non aggiornate. L'accesso e l'utilizzo del sito avvengono sotto la responsabilità dell'utente.Tutti i contenuti del sito sono usufruibili in maniera gratuita. Non viene mai richiesto dagli autori del sito di utilizzare carte di credito o altri strumenti di pagamento.