TuttoQUIZ.it

Il portale dell'apprendimento online.

Quiz Assegnazione di Sedi Farmaceutiche 2025

Suddivisione database ministeriale

GRUPPI DI QUESITI 1981-2010

1981. Il recettore dell’insulina è:
1982. Una curva dose-risposta è:
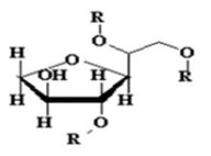
1983. La glicerina ha la formula indicata. Essa ha una densità pari a 1,26 g/ml.Quale delle affermazioni seguenti è corretta: la glicerina dopo agitazione con acqua

1984. Quale tra i seguenti recettori è localizzato nel citosol ed è sensibile a composti a struttura steroidea?
1985. Le intossicazioni da composti contenenti arsenico si trattano con
1986. Il farmacista, nei casi previsti dalla legge, può sostituire un cerotto transdermico a riserva con uno a matrice entrambi contenenti lo stesso principio attivo e approvati per le stesse indicazioni terapeutiche?
1987. Quale delle seguenti affermazioni sul sistema di segnalazione spontanea di reazioni avverse è vera?
1988. Quale delle seguenti affermazioni riguardanti il Flumazenil, utilizzato nel caso di sovradosaggio di benzodiazepine, è corretta?
1989. Il decentramento delle farmacie è possibile se il numero degli abitanti non è aumentato?
1990. A quale classe di farmaci viene riferito il suffisso “drato” nella Denominazione Comune?
1991. Acenocumarolo ed eparina sono due farmaci ad azione anticoagulante e
1992. Gli Inibitori di tirosin- chinasi sono farmaci
1993. Gli SPAN sono esteri del sorbitano e vengono contraddistinti da numeri, ai quali corrisponde una o più catene di acido grasso ed il tipo di acido grasso. Quale delle seguenti combinazioni è corretta?

1994. Il farmacista può essere sanzionato in sede disciplinare con la sospensione dall’esercizio della professione per cinque mesi?
1995. Quale benzodiazepina è più indicata negli attacchi di panico?
1996. Quale, tra i farmaci antimicrobici indicati, agisce sulla sintesi della parete cellulare batterica?
1997. L’abuso di lassativi antrachinonici può indurre:
1998. A quale classe di farmaci appartiene il triazolam?

1999. La biotrasformazione epatica inducibile da parte di un farmaco avviene ad opera di enzimi situati:
2000. Attraverso quale dei suoi gruppi funzionali l’acetilcisteina, avente la formula indicata, esercita la sua attività mucolitica?

2001. Quale delle seguenti affermazioni riguardanti il metil mercurio è corretta? L'intossicazione:
2002. Con quali modalità si devono effettuare le annotazioni nel registro entrata e uscita stupefacenti ?
2003. Il sofosbuvir è
2004. Per i dispositivi medico-diagnostici in vitro, il marchio CE:
2005. Secondo il decreto legislativo n. 218/2023 chi assume la responsabilità della vendita diretta dei medicinali veterinari da parte di grossisti autorizzati?
2006. Quale, tra le coppie farmaco - enzima sotto elencate, rappresenta l’enzima ed il corrispondente inibitore?
2007. Le indagine diagnostiche attraverso la Tomografia Assiale Computerizzata (TAC) utilizzano radiazioni elettromagnetiche che, rispetto ai valori che rientrano nel campo del visibile, sono
2008. Sulla base del criterio demografico, ogni quanti abitanti è possibile aprire una farmacia?
2009. Un alimento destinato a fini medici speciali secondo la normativa vigente in materia ricade tra:
2010. L’antidepressivo paroxetina agisce bloccando

TuttoQUIZ.it, il portale dell'apprendimento online

© 2019 Tutti i diritti riservati

 

ASSODOLAB, Associazione Nazionale Docenti di Laboratorio
Ente accreditato e qualificato dal MIUR per la formazione del personale della Scuola - Direttiva 170 del 21/03/2016.
Via Cavour, 74 - 76015 TRINITAPOLI BT - Italy
Telefono 339.2661022 - P. IVA 03039870716

 

PRIVACY: Questo sito utilizza cookie per migliorare servizi ed esperienza dei lettori. MAGGIORI DETTAGLI

DICHIARAZIONE DI NON RESPONSABILITA': Il titolare del sito non si assume alcuna responsabilità per eventuali danni diretti o indiretti derivanti dall'uso delle informazioni presenti nel sito o non aggiornate. L'accesso e l'utilizzo del sito avvengono sotto la responsabilità dell'utente.Tutti i contenuti del sito sono usufruibili in maniera gratuita. Non viene mai richiesto dagli autori del sito di utilizzare carte di credito o altri strumenti di pagamento.