TuttoQUIZ.it

Il portale dell'apprendimento online.

Quiz Assegnazione di Sedi Farmaceutiche 2025

Suddivisione database ministeriale

GRUPPI DI QUESITI 181-210

181. Quale delle indicazioni seguenti si avvicina maggiormente alla definizione di provitamine?
182. Se ricorrono le condizioni previste dalla normativa per la consegna da parte del farmacista di medicinali assoggettati a prescrizione medica, in caso di necessità e urgenza, senza presentazione di ricetta medica, è consentito al farmacista di dispens
183. L’impregnazione è una tecnica che consiste nel fissare una diluizione omeopatica su supporti inerti, quali:
184. Chi effettua pubblicità di dispositivi medici in violazione alle disposizioni vigenti è soggetto a:
185. Mexiletina e lidocaina sono farmaci accomunati per:
186. Gli analoghi del GnRH ( Gonadotropin-Releasing Hormon ) (leuprorelin, goserelin, triptorelin, buserelin) impiegati nella terapia di malattie ormono-dipendenti sono:
187. Qual è la durata di validità di una ricetta non ripetibile a carico del Servizio Sanitario Nazionale?
188. Le indagine diagnostiche attraverso la Tomografia Assiale Computerizzata (TAC) utilizzano radiazioni elettromagnetiche che, rispetto a quelle che rientrano nel campo del visibile, presentano
189. Quale dei principi attivi sotto indicati conferisce ai medicinali che lo contengono l’attività terapeutica di antiacido
190. Quale, tra le seguenti azioni, NON si osserva con l’uso dei diuretici dell’ansa?
191. Indicare quale delle seguenti attività farmacologiche esplica il propranololo:
192. La coniugazione di un biofarmaco con plietilenglicole ( PEG ):
193. Preparazioni galeniche di capsule contenenti i cosidetti “amminoacidi ramificati” (BCAA). Quale, tra quelli elencati, appartiene a tale categoria?
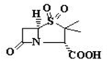
194. Il sulbactam avente la struttura indicata

195. Secondo la Farmacopea, le preparazioni semisolide per applicazione cutanea si suddividono in:
196. A cosa è subordinata l’efficacia delle polizze assicurative stipulate dal farmacista per danni cagionati con colpa grave?
197. Il ricarico percentuale può essere definito come:
198. Per farmaco orfano si intende
199. Nei composti quali il Macrogol e il Polisorbato, preparati con ossido di etilene, quale deve essere il limite per questo costituente?
200. Nell’organismo umano dove è maggiormente presente lo iodio?
201. Tra gli antipsicotici elencati, quello che produce i minori disturbi extrapiramidali è:
202. Quale dei seguenti farmaci antiulcera inibisce la secrezione acida bloccando reversibilmente la pompa protonica delle cellule parietali?
203. Le fenotiazine risultano efficaci nella
204. La dose di meflochina usata nella profilassi contro la malaria da Plasmodium falciparum è:
205. E’ consentita la consegna a domicilio di medicinali?
206. Quale delle seguenti piante medicinali è utilizzata nell’insufficienza venosa?
207. Quale delle indicazioni riferite all'anestetico locale lidocaina cloridrato monoidrato NON è corretta
208. Quando il gruppo carbossilico delle amminopenicilline viene esterificato come nella bacampicillina avente la struttura sotto indicata, si ottengono penicilline

209. Per stabilizzare una sospensione in acqua si può: quale delle sostanze sotto indicate si può sostituire l'algeldrato
210. Nel trattamento di infezioni nosocomiali e di comunità, Linezolid è indicato

TuttoQUIZ.it, il portale dell'apprendimento online

© 2019 Tutti i diritti riservati

 

ASSODOLAB, Associazione Nazionale Docenti di Laboratorio
Ente accreditato e qualificato dal MIUR per la formazione del personale della Scuola - Direttiva 170 del 21/03/2016.
Via Cavour, 74 - 76015 TRINITAPOLI BT - Italy
Telefono 339.2661022 - P. IVA 03039870716

 

PRIVACY: Questo sito utilizza cookie per migliorare servizi ed esperienza dei lettori. MAGGIORI DETTAGLI

DICHIARAZIONE DI NON RESPONSABILITA': Il titolare del sito non si assume alcuna responsabilità per eventuali danni diretti o indiretti derivanti dall'uso delle informazioni presenti nel sito o non aggiornate. L'accesso e l'utilizzo del sito avvengono sotto la responsabilità dell'utente.Tutti i contenuti del sito sono usufruibili in maniera gratuita. Non viene mai richiesto dagli autori del sito di utilizzare carte di credito o altri strumenti di pagamento.