TuttoQUIZ.it

Il portale dell'apprendimento online.

Quiz Assegnazione di Sedi Farmaceutiche 2025

Suddivisione database ministeriale

GRUPPI DI QUESITI 2251-2280

2251. L’assunzione ripetuta di dosi elevate di ecstasy provoca:
2252. Il principio attivo gliclazide, di cui si riporta la formula, si può inquadrare tra:

2253. Quale delle affermazioni riportate e riguardanti l'ipratropio bromuro è corretta? Il principio attivo
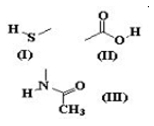
2254. L’acetilcisteina contiene i tre gruppi funzionali aventi la struttura sotto indicata. Quale, tra i gruppi funzionali indicati, è principalmente responsabile dell’attività mucolitica del principi attivo? Il gruppo

2255. La somministrazione di betanecolo, avente la struttura indicata, determina

2256. Effetti collaterali delle fenotiazine sono:
2257. Le immunoglobuline umane antitetaniche si somministrano:
2258. Il limite di età per essere ammessi al concorso per l'assegnazione di nuove sedi farmaceutiche è:
2259. Quale, tra i farmaci antimicrobici seguenti, agisce sulla parete cellulare batterica?
2260. Nel glaucoma ad angolo aperto sono impiegati
2261. La metoclopramide ha la struttura indicata. Quale delle affermazioni sotto riportate e riferite a tale principio attivo è corretta?

2262. L’eparina è assorbita se viene somministrata
2263. Il farmacista radiato dall’Albo professionale, può essere reiscritto?
2264. La biodisponibilità di un farmaco somministrato per os esprime:
2265. Indicare i farmaci innovativi del Diabete tipo 2 ?
2266. Qual è il vettore della Filaria?
2267. Che cosa indica la tabella n.2 della Farmacopea Ufficiale?
2268. Per la realizzazione di creme base la F.U. prescrive di utilizzare:
2269. Le curve indicate in figura con le lettere A e B si riferiscono a due farmaci A e B che agiscono sul sistema parasimpatico. A quale delle coppie di sostanze sotto elencate potrebbero corrispondere

2270. Su quale dei bersagli elencati agisce la claritromicina?
2271. L’amantadina è un farmaco usato nel morbo di Parkinson; si ritiene che essa
2272. La suddivisione in classi dei dispositivi medici ai sensi del Regolamento (UE) 2017/745 ha principalmente lo scopo di individuare:
2273. La F.U. prevede che l'acqua per preparazioni iniettabili venga ottenuta mediante
2274. Per il trattamento di quale delle patologie indicate può essere utilizzato il calcio edetato bisodico avente la formula indicata

2275. Quali delle interazioni farmacocinetiche indicate sono possibili?
2276. Interferone beta è approvato:
2277. Le prescrizioni magistrali di medicinali a base di principi attivi già contenuti in medicinali la cui autorizzazione all'immissione in commercio sia stata revocata sono consentite
2278. Quale delle indicazioni seguenti si avvicina maggiormente alla definizione di battericida? Sostanza che
2279. Il fenobarbital
2280. L’assorbimento di un farmaco somministrato per via sottocutanea è favorito da:

TuttoQUIZ.it, il portale dell'apprendimento online

© 2019 Tutti i diritti riservati

 

ASSODOLAB, Associazione Nazionale Docenti di Laboratorio
Ente accreditato e qualificato dal MIUR per la formazione del personale della Scuola - Direttiva 170 del 21/03/2016.
Via Cavour, 74 - 76015 TRINITAPOLI BT - Italy
Telefono 339.2661022 - P. IVA 03039870716

 

PRIVACY: Questo sito utilizza cookie per migliorare servizi ed esperienza dei lettori. MAGGIORI DETTAGLI

DICHIARAZIONE DI NON RESPONSABILITA': Il titolare del sito non si assume alcuna responsabilità per eventuali danni diretti o indiretti derivanti dall'uso delle informazioni presenti nel sito o non aggiornate. L'accesso e l'utilizzo del sito avvengono sotto la responsabilità dell'utente.Tutti i contenuti del sito sono usufruibili in maniera gratuita. Non viene mai richiesto dagli autori del sito di utilizzare carte di credito o altri strumenti di pagamento.