TuttoQUIZ.it

Il portale dell'apprendimento online.

Quiz Assegnazione di Sedi Farmaceutiche 2025

Suddivisione database ministeriale

GRUPPI DI QUESITI 2311-2340

2311. L’espressione “ricco in fibra” ai sensi del regolamento (CE) 1924/2006 si configura come:
2312. Quale dei seguenti agenti cardiovascolari viene classificato chimicamente come glucoside:
2313. Quale delle affermazioni seguenti riguardanti il glucagone è corretta
2314. Secondo l'OMS un soggetto normale, non a rischio, è iperteso quando ha una pressione sistolica/diastolica uguale o superiore a
2315. Quale dei principi attivi indicati presenta un meccanismo di azione simile a quello del cromoglicato

2316. I plasmidi sono
2317. Molti medicinali utilizzati per la terapia dell’acidità gastrica contengono idrossidi o sali complessi di alluminio. Quale delle affermazioni seguenti riguardanti l’alluminio è corretta
2318. Quale tra i seguenti farmaci immonosoppressori è un antibiotico peptidico?
2319. Gli operatori sanitari, che rilevano un malfunzionamento o un' alterazione delle caratteristiche e delle prestazioni nell’uso di un dispositivo medico debbono segnalarlo:
2320. I “farmaci equivalenti” sono farmaci
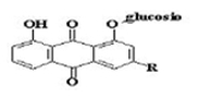
2321. Delle droghe lassative: Senna, Aloe, Cascara, Frangola e Rabarbaro, quali contengono glicosidi antracenici, aventi la struttura generale indicata?

2322. Uno dei sintomi dell’uso cronico di etanolo è:
2323. Sono dovuti i diritti addizionali previsti dalla tariffa nazionale dei medicinali per la dispensazione di medicinali durante le ore di chiusura diurna quando la farmacia effettua servizio “a chiamata”?
2324. Quale, tra le seguenti affermazioni riguardanti i cosmetici, è corretta?
2325. Quale tra i farmaci indicati non ha effetti diretti sui canali del K+?
2326. Quale tra le basi seguenti da sola consente la realizzazione di un unguento emulsionante acqua:
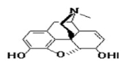
2327. Il principale meccanismo d’azione della bromocriptina, avente la struttura indicata, si identifica con:

2328. Gli antibiotici amminoglicosidici somministrati per via orale sono utilizzati per
2329. In vivo, il legame farmaco-proteina è principalmente correlato al legame del farmaco con
2330. Ai sensi del regolamento (CE) n. 1223/2009, prima di rendere disponibile un prodotto, i distributori verificano che:
2331. La pralidossima è un antidoto impiegato nella intossicazione da
2332. Quale, tra i farmaci elencati, provoca la diminuzione della pressione arteriosa non accompagnata da tachicardia riflessa
2333. Quale delle indicazioni seguenti corrisponde maggiormente alla definizione di "forma ritardo” di un farmaco? Una forma farmaceutica in cui:
2334. Quale delle affermazioni riguardanti i saponi è corretta?
2335. L’estrazione della morfina dall’oppio come base libera può avvenire mediante trattamento con:

2336. La quantità di morfina contenuta nell’oppio polvere titolata secondo la Farmacopea Europea deve essere:
2337. Il baclofene ha azione miorilassante centrale in quanto stimola il recettore
2338. Il valore di HLB può essere valutato con formule empiriche del tipo di quella sotto riportata dove S ed A rappresentano, rispettivamente, il numero di ml di NaOH necessari per saponificare 1 g di tensioattivo e per titolare 1 g della frazione acida

2339. Indicare quale delle seguenti sostanze viene impiegata come conservante antimicrobico in preparazioni farmaceutiche e cosmetiche:
2340. Quale tra i farmaci antimicrobici seguenti riesce a provocare modificazioni della sintesi o del metabolismo degli acidi nucleici della cellula batterica.

TuttoQUIZ.it, il portale dell'apprendimento online

© 2019 Tutti i diritti riservati

 

ASSODOLAB, Associazione Nazionale Docenti di Laboratorio
Ente accreditato e qualificato dal MIUR per la formazione del personale della Scuola - Direttiva 170 del 21/03/2016.
Via Cavour, 74 - 76015 TRINITAPOLI BT - Italy
Telefono 339.2661022 - P. IVA 03039870716

 

PRIVACY: Questo sito utilizza cookie per migliorare servizi ed esperienza dei lettori. MAGGIORI DETTAGLI

DICHIARAZIONE DI NON RESPONSABILITA': Il titolare del sito non si assume alcuna responsabilità per eventuali danni diretti o indiretti derivanti dall'uso delle informazioni presenti nel sito o non aggiornate. L'accesso e l'utilizzo del sito avvengono sotto la responsabilità dell'utente.Tutti i contenuti del sito sono usufruibili in maniera gratuita. Non viene mai richiesto dagli autori del sito di utilizzare carte di credito o altri strumenti di pagamento.