TuttoQUIZ.it

Il portale dell'apprendimento online.

Quiz Assegnazione di Sedi Farmaceutiche 2025

Suddivisione database ministeriale

GRUPPI DI QUESITI 2341-2370

2341. La doxiciclina,nella profilassi della malaria si somministra alla dose giornaliera di:
2342. Quale delle indicazioni seguenti riferita alla forma farmaceutica Infusioni NON risulta corretta
2343. Da chi deve essere vidimato il registro di entrata e uscita dei medicinali a base di costituenti del sangue per le farmacie?
2344. Un antagonismo farmacologico recettoriale competitivo è caratterizzato da:
2345. Per le ricette non ripetibili a carico del servizio sanitario l'obbligo di conservazione per sei mesi è soddisfatto
2346. Per la vendita in farmacia dei presidi medico-chirurgici occorre
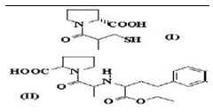
2347. Il meccanismo d’azione di captopril (I) ed enalapril (II) consiste nel

2348. Quale delle seguenti affermazioni sugli agenti cancerogeni è FALSA?
2349. Le seguenti situazioni costituiscono indicazione per l’uso dei diuretici dell’ansa, ad ECCEZIONE di:
2350. Nella preparazione delle compresse, gli eccipienti che vengono aggiunti alle polveri allo scopo di migliorare lo scorrimento, prendono il nome di
2351. Gli effetti della nafazolina possono essere potenziati dall’assunzione contemporanea di farmaci:
2352. E' consentito dalla normativa l'impiego di medicinali off label?
2353. Il 6-glucuronil derivato è uno dei principali metaboliti della morfina. Quale delle seguenti affermazioni è corretta? Esso
2354. I recettori nicotinici sono
2355. Il captopril agisce mimando la conformazione dell’angiotensina II
2356. Quale dei seguenti inibitori enzimatici agisce con un meccanismo di “substrato suicida”:
2357. I pro-farmaci sono
2358. Nel composto rappresentato dalla struttura indicata, l’atomo di cloro, spesso presente nelle benzodiazepine, è stato sostituito da un nitrogruppo. Tale modifica strutturale sposta l’attività farmacologica del composto verso un’azione

2359. In un cosmetico può essere utilizzato qualsiasi ingrediente come filtro solare?
2360. Quale è l’attività farmacologica fondamentale del principio attivo appartenente alla famiglia degli acidi fenamici

2361. Quali delle seguenti affermazioni sull’arancio amaro (Citrus aurantium L. ssp. amara Engl.) è corretta?
2362. I medicinali a base di buprenorfina devono essere prescritti
2363. Nell’ambito del procedimento per la revisione della Pianta Organica delle sedi farmaceutiche, il Comune
2364. Lo spironolattone è considerato il diuretico di elezione per il trattamento di
2365. L’impiego di quale dei seguenti farmaci antiepilettici può provocare una rara ma grave epatotossicità
2366. Quale, tra i farmaci menzionati, non dà tolleranza:
2367. Quale delle affermazioni sottoriportate è corretta? La metoclopramide
2368. Quale delle sostanze elencate si potrebbe utilizzare in uno sciroppo avente proprietà antitussive e da utilizzare come farmaco OTC?
2369. I preparati a base di arancio amaro (epicarpo di Citrus aurantium L. ssp. amara Engl.) hanno effetti:
2370. Sulla cute lesa deve essere applicato

TuttoQUIZ.it, il portale dell'apprendimento online

© 2019 Tutti i diritti riservati

 

ASSODOLAB, Associazione Nazionale Docenti di Laboratorio
Ente accreditato e qualificato dal MIUR per la formazione del personale della Scuola - Direttiva 170 del 21/03/2016.
Via Cavour, 74 - 76015 TRINITAPOLI BT - Italy
Telefono 339.2661022 - P. IVA 03039870716

 

PRIVACY: Questo sito utilizza cookie per migliorare servizi ed esperienza dei lettori. MAGGIORI DETTAGLI

DICHIARAZIONE DI NON RESPONSABILITA': Il titolare del sito non si assume alcuna responsabilità per eventuali danni diretti o indiretti derivanti dall'uso delle informazioni presenti nel sito o non aggiornate. L'accesso e l'utilizzo del sito avvengono sotto la responsabilità dell'utente.Tutti i contenuti del sito sono usufruibili in maniera gratuita. Non viene mai richiesto dagli autori del sito di utilizzare carte di credito o altri strumenti di pagamento.