TuttoQUIZ.it

Il portale dell'apprendimento online.

Quiz Assegnazione di Sedi Farmaceutiche 2025

Suddivisione database ministeriale

GRUPPI DI QUESITI 2371-2400

2371. I medicinali “A” e “B” sono utilizzati come antiemetici e contengono rispettivamente ondansetron e metoclopramide. Quale delle affermazioni seguenti sui due medicinali è corretta?
2372. L'acebutololo (I) e il salmeterolo (II) hanno le strutture indicate: quale delle seguenti affermazioni è corretta? Il composto

2373. Molti barbiturici si differenziano per la natura dei gruppi sostituenti sul carbonio 5. Da cosa possono essere costituiti i due sostituenti R1 ed R2 del carbonio 5?

2374. A quale classe di antibiotici potrebbe essere attribuita un composto avente la struttura indicata?

2375. Nel caso in cui una preparazione contenga più sostanze pericolose per la salute umana, riportate nella Tabella 3 FU o classificate nel “Global Harmonized System” con codice univoco H, il supplemento previsto dalla Tariffa nazionale dei medicinali sp
2376. Tra due farmaci parimenti lipofili penetra più facilmente nel SNC quello:
2377. Quale, tra i seguenti parametri definisce il tempo necessario affinché la massima concentrazione plasmatica del farmaco si riduca della metà:
2378. Quale dei seguenti recettori è dotato di attività tirosin chinasica?
2379. Quali dei seguenti estratti o derivati di piante medicinali possono essere facilmente solubilizzati negli oli vegetali?
2380. Indicare quale delle affermazioni riportate è corretta per le cefalosporine di terza generazione.
2381. Qual è l’importo del diritto addizionale previsto dalla tariffa nazionale dei medicinali per la dispensazione di medicinali durante le ore di chiusura diurna?
2382. La quota IVA da applicare ai diversi comparti merceologici commerciali presenti in farmacia, ha un valore:
2383. E’ obbligatorio riportare alla fine di ogni pagina del registro entrata e uscita stupefacenti il numero della pagina in cui prosegue la registrazione?
2384. Gli analoghi del GnRH ( Gonadotropin-Releasing Hormon ) si impiegano nella:
2385. I glicosidi cardioattivi come la digossina esplicano il loro effetto
2386. Alcuni medicinali sono utilizzati come sistemi terapeutici transdermici. Qual è l’indicazione terapeutica che possono avere?
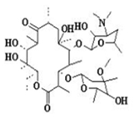
2387. La miocamicina è
2388. Quale delle affermazioni seguenti riguardanti le due curve dose-effetto indicate in figura con le lettere A e B è corretta

2389. Indicare quale tra le reazioni avverse da farmaco NON è associata all’uso di diuretici tiazidici
2390. A quale classe farmacologica potrebbe essere attribuito un composto avente la struttura parziale indicata?

2391. L’anastrozolo ha come indicazione clinica principale:
2392. Un farmaco che si accumula in uno o più tessuti ha un volume apparente di distribuzione
2393. L’inibizione della secrezione gastrica acida da parte dell’omeprazolo, avente la struttura indicata, è conseguenza

2394. La firma sul buono acquisto stupefacenti conforme al D.M. 18.12.2006:
2395. La saxitossina, potenziale inquinante di molluschi, induce:
2396. Con il termine "betabloccanti" si intendono designare i farmaci:
2397. Quali degli oli elencati è più stabile in una emulsione A/O e non richiede l’aggiunta di un antiossidante?
2398. L’acido acetilsalicilico a bassi dosaggi (50-300 mg/die) può essere utilizzato nella profilassi antitrombotica come antiaggregante piastrinico. Per tale indicazione terapeutica il basso dosaggio di principio attivo si giustifica in quanto
2399. La simvastatina, avente la struttura riportata, e la colestiramina sono accomunati

2400. Quale delle piante medicinali indicate contiene sia principi ad azione purgante che principi ad azione emolliente cutanea?

TuttoQUIZ.it, il portale dell'apprendimento online

© 2019 Tutti i diritti riservati

 

ASSODOLAB, Associazione Nazionale Docenti di Laboratorio
Ente accreditato e qualificato dal MIUR per la formazione del personale della Scuola - Direttiva 170 del 21/03/2016.
Via Cavour, 74 - 76015 TRINITAPOLI BT - Italy
Telefono 339.2661022 - P. IVA 03039870716

 

PRIVACY: Questo sito utilizza cookie per migliorare servizi ed esperienza dei lettori. MAGGIORI DETTAGLI

DICHIARAZIONE DI NON RESPONSABILITA': Il titolare del sito non si assume alcuna responsabilità per eventuali danni diretti o indiretti derivanti dall'uso delle informazioni presenti nel sito o non aggiornate. L'accesso e l'utilizzo del sito avvengono sotto la responsabilità dell'utente.Tutti i contenuti del sito sono usufruibili in maniera gratuita. Non viene mai richiesto dagli autori del sito di utilizzare carte di credito o altri strumenti di pagamento.