TuttoQUIZ.it

Il portale dell'apprendimento online.

Quiz Assegnazione di Sedi Farmaceutiche 2025

Suddivisione database ministeriale

GRUPPI DI QUESITI 2551-2580

2551. I criteri di accettazione per la qualità microbiologica di una preparazione non obbligatoriamente sterile sono stabiliti dalla F.U. in base:
2552. Prendono il nome di sostanze “diluenti” quelle che
2553. Cosa rappresenta la Classificazione Nazionale dei Dispositivi Medici (CND)?
2554. A quale classe di farmaci viene riferito il suffisso “tidina” nella Denominazione Comune?
2555. Quale, tra le seguenti classi di farmaci antimicrobici, agisce sulla parete cellulare batterica?
2556. La combinazione delle due molecole aventi la struttura sotto indicata prende il nome di benzatinabenzilpenicillina. Essa costituisce una penicillina

2557. Il passaggio dei farmaci attraverso le membrane cellulari è influenzato da tutti i seguenti fattori tranne:
2558. La cloxacillina appartiene al gruppo delle penicilline

2559. Chi deve vidimare il registro dei galenici iniettabili?
2560. La clorpromazina, di cui si riporta la struttura, è un

2561. Quale delle affermazioni riportate è maggiormente corrispondente alla realtà: un farmaco “me too” è un farmaco che, confrontato con un altro farmaco in commercio, presenta
2562. La presenza di un conservante antimicrobico in una preparazione galenica magistrale:
2563. Per quanto tempo il farmacista è obbligato a conservare copia delle ricette medico veterinarie non ripetibili redatte in formato elettronico (REV) rilasciate per animali produttori di alimenti?
2564. Quale dei farmaci indicati può essere usato come broncodilatatore di elezione durante le crisi asmatiche ?
2565. Per la preparazione magistrale di un piccolo numero di supposte con il metodo della doppia fusione, si dispone ordinariamente di una massa per un numero di supposte:
2566. Quale delle seguenti condizioni può essere causata da un antagonista non selettivo dei recettori beta adrenergici?
2567. A quale distanza datutte le altre farmacie devono essere situate le farmacie istituite col criterio topografico?
2568. La dietilammide dell'acido lisergico (LSD), la cui struttura è riportata, è un

2569. Tra i farmaci ad azione antipertensiva indicati, quale presenta come effetto indesiderato l’ipertricosi
2570. Il farmacista è tenuto ad annotare sull’etichetta, che appone sull’involucro dei medicinali galenici che allestisce in farmacia, se il rimedio va utilizzato a gocce?
2571. Le metilxantine sono antagonisti a livello dei recettori:
2572. Quale tra i farmaci elencati può causare ototossicità?
2573. I beta-lattamici agiscono da:
2574. È obbligatorio,per la Farmacia, avere in dotazione almeno un’incapsulatrice?
2575. Quale delle seguenti affermazioni relative al principio attivo ziprasidone NON è CORRETTA?
2576. I medicinali in crema a base di ketoconazolo sono usate per trattare
2577. In caso di una sospetta congiuntivite batterica le preparazioni in gocce o pomata oculari possono contenere:
2578. L'apixaban è un farmaco
2579. Un medicinale contiene “destrano 40” in soluzione acquosa. L’indicazione numerica data definisce le caratteristiche della macromolecola di destrano utilizzata nel medicinale. Il suo significato è che il destrano presente
2580. Trastuzumab è un anticorpo monoclonale di tipo:

TuttoQUIZ.it, il portale dell'apprendimento online

© 2019 Tutti i diritti riservati

 

ASSODOLAB, Associazione Nazionale Docenti di Laboratorio
Ente accreditato e qualificato dal MIUR per la formazione del personale della Scuola - Direttiva 170 del 21/03/2016.
Via Cavour, 74 - 76015 TRINITAPOLI BT - Italy
Telefono 339.2661022 - P. IVA 03039870716

 

PRIVACY: Questo sito utilizza cookie per migliorare servizi ed esperienza dei lettori. MAGGIORI DETTAGLI

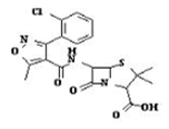
DICHIARAZIONE DI NON RESPONSABILITA': Il titolare del sito non si assume alcuna responsabilità per eventuali danni diretti o indiretti derivanti dall'uso delle informazioni presenti nel sito o non aggiornate. L'accesso e l'utilizzo del sito avvengono sotto la responsabilità dell'utente.Tutti i contenuti del sito sono usufruibili in maniera gratuita. Non viene mai richiesto dagli autori del sito di utilizzare carte di credito o altri strumenti di pagamento.