TuttoQUIZ.it

Il portale dell'apprendimento online.

Quiz Assegnazione di Sedi Farmaceutiche 2025

Suddivisione database ministeriale

GRUPPI DI QUESITI 2611-2640

2611. Il clopidogrel è un farmaco dotato di attività:
2612. Lo sciroppo semplice (saccarosio sciroppo) riportato in F.U. contiene il 66,5% in peso di saccarosio in acqua. Per preparare sperimentalmente tale sciroppo è conveniente operare
2613. Dornase alfa (rhDNase) è un enzima che si utilizza per:
2614. Di quale dei recettori elencati è antagonista il flumazenil avente la struttura indicata?

2615. E’ necessaria l’autorizzazione per detenere in farmacia gas medicinali?
2616. La tachifilassi è
2617. Le Tinture madri per preparazione omeopatica sono ottenute utilizzando:
2618. L’azione vasodilatatrice dei nitrati organici è dovuta alla produzione di monossido d’azoto (NO). Quale delle affermazioni seguenti, riguardante questa classe di composti, è corretta? Il monossido di azoto si produce dalla trinitroglicerina
2619. Per quale indicazione oltre al diabete è approvato l'uso delle gliflozine?
2620. La formazione di un precipitato insolubile quando si uniscono un sale di calcio ed un fosfato sono esempi di incompatibilità:
2621. Quale dei parametri indicati permette di valutare, dopo dose singola, la biodisponibilità relativa di un farmaco presente in una forma farmaceutica somministrata per os
2622. Il suffisso “-pril” viene usato nella denominazione comune per farmaci
2623. La tessera professionale europea (European Professional Card - EPC) è una vera e propria carta di riconoscimento che consente direttamente di esercitare la professione all’estero?
2624. In quali quantitativi le farmacie sono obbligate a detenere i medicinali di cui alla tabella n.4 della Farmacopea Ufficiale
2625. Gli effetti collaterali legati al blocco dei recettori dopaminergici D2 nigrostriatali sono frequenti nel corso di terapia neurolettica. Quale, tra i farmaci elencati, presenta la minima attività extrapiramidale?
2626. Gli antistaminici anti-H2 agiscono:
2627. Il meccanismo d'azione che è alla base della tossicità del mercurio è dovuto alla facilità con la quale esso si lega:
2628. Che cosa indica la tabella n.5 della Farmacopea Ufficiale?
2629. L'anakinra è un farmaco con attività
2630. Quale, tra quelli sotto indicati, è il meccanismo d'azione delle ammine simpaticomimetiche ad azione indiretta:
2631. Quale farmaco, tra quelli elencati, è induttore enzimatico:
2632. La dopamina influenza il sistema cardiocircolatorio attraverso una serie di effetti. Quale, tra quelli sotto elencati, NON rientra in essi
2633. Che cosa indica la Tabella n. 7 della Farmacopea Ufficiale?
2634. Per quante volte nella sua vita ad un titolare di farmacia è concesso vendere la propria farmacia e acquistarne un’altra?
2635. L'IVA che viene pagata al fornitore rappresenta:
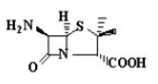
2636. L’acido 6-APA è costituito dalla fusione di due anelli, uno è tiazolidinico, l’altro è:

2637. L'adenilato ciclasi è:
2638. I diuretici furosemide e piretanide contengono un gruppo solfonammidico; l'acido etacrinico è un derivato dell'acido fenossiacetico; la torasemide è una sulfonilurea. Essi agiscono in quanto sono
2639. Gli induttori, quali le diossine, degli enzimi metabolizzanti gli xenobiotici (tra cui i farmaci)
2640. L'esposizione ripetuta ad uno xenobiotico può provocare:

TuttoQUIZ.it, il portale dell'apprendimento online

© 2019 Tutti i diritti riservati

 

ASSODOLAB, Associazione Nazionale Docenti di Laboratorio
Ente accreditato e qualificato dal MIUR per la formazione del personale della Scuola - Direttiva 170 del 21/03/2016.
Via Cavour, 74 - 76015 TRINITAPOLI BT - Italy
Telefono 339.2661022 - P. IVA 03039870716

 

PRIVACY: Questo sito utilizza cookie per migliorare servizi ed esperienza dei lettori. MAGGIORI DETTAGLI

DICHIARAZIONE DI NON RESPONSABILITA': Il titolare del sito non si assume alcuna responsabilità per eventuali danni diretti o indiretti derivanti dall'uso delle informazioni presenti nel sito o non aggiornate. L'accesso e l'utilizzo del sito avvengono sotto la responsabilità dell'utente.Tutti i contenuti del sito sono usufruibili in maniera gratuita. Non viene mai richiesto dagli autori del sito di utilizzare carte di credito o altri strumenti di pagamento.