TuttoQUIZ.it

Il portale dell'apprendimento online.

Quiz Assegnazione di Sedi Farmaceutiche 2025

Suddivisione database ministeriale

GRUPPI DI QUESITI 241-270

241. Il polimero PEG 400, usato come eccipiente, appartiene alla classe
242. La segnalazione spontanea di reazione avversa da farmaci deve essere inviata al Responsabile di farmacovigilanza della struttura di appartenenza:
243. Nel glaucoma ad angolo aperto è indicata
244. Quale delle seguenti classi di farmaci può indurre un sindrome extrapiramidale di tipo parkinsoniano
245. L'isosorbide mononitrato
246. Su quale dei bersagli elencati agisce la lincomicina, avente la struttura indicata?

247. Il prefisso “nor” nel nome della noradrenalina sta ad indicare che questo composto, a confronto con l’adrenalina,
248. L’ispezione ordinaria in farmacia deve avvenire:
249. Il principio attivo Lorazepam è:
250. Un cittadino dell’Unione Europea chiede informazione in farmacia per conoscere quale medicinale presente nel mercato italiano è corrispondente a quella in commercio nel suo Paese e che contiene un lassativo indicato nella classificazione ATC come A06
251. Degli accoppiamenti sotto indicati qual è quello corretto?
252. Quale, tra quelle seguenti, corrisponde in maniera più precisa alla definizione di tolleranza
253. Il suxametonio, corrispondente alla struttura rappresentata,

254. Quale delle affermazioni sottoriportate è corretta per la famotidina?
255. Tra le vie di somministrazione dei medicinali, quale di quelle sotto indicate presenta i maggiori inconvenienti nelle terapie con farmaci di natura peptidica
256. Il fenomeno dell’ “efflorescenza” è collegato
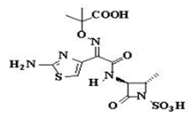
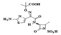
257. Su quale dei bersagli elencati agisce l’aztreonam, avente la struttura indicata?

258. La terapia con estrogeni non deve essere associata alla somministrazione di:
259. Quale dei seguenti farmaci agisce come agonista sui recettori alfa2 adrenergici?
260. La dosulepina è una sostanza la cui attività farmacologica principale è classificabile come
261. Il principio attivo captopril, riportato in struttura, è:

262. Quale dei seguenti agenti può essere usato nel trattamento di infezioni micotiche sistemiche?
263. A quale principio attivo viene riferito il suffisso “cillina” nella Denominazione Comune? A quello a cui appartiene il principio attivo:

264. L’aztreonam è attivo nei confronti di

265. La stimolazione dei recettori muscarinici determina
266. L’esibizione di documentazione di dimissione ospedaliera per la prosecuzione della terapia consente al farmacista la consegna di medicinali assoggettati a prescrizione medica senza presentazione di ricetta medica, in caso di necessità e urgenza, se l
267. Quale tra i farmaci ricordati è il più efficace dilatatore dei vasi di resistenza e dei vasi di capacitanza
268. Gli antidepressivi triciclici provocano nell’individuo sano:
269. Qualora in una preparazione galenica venisse prescritta la desossiefedrina la cui struttura è riportata a lato, l'etichetta da apporre sul contenitore deve

270. Quale delle seguenti affermazioni riguardanti il suxametonio è corretta:

TuttoQUIZ.it, il portale dell'apprendimento online

© 2019 Tutti i diritti riservati

 

ASSODOLAB, Associazione Nazionale Docenti di Laboratorio
Ente accreditato e qualificato dal MIUR per la formazione del personale della Scuola - Direttiva 170 del 21/03/2016.
Via Cavour, 74 - 76015 TRINITAPOLI BT - Italy
Telefono 339.2661022 - P. IVA 03039870716

 

PRIVACY: Questo sito utilizza cookie per migliorare servizi ed esperienza dei lettori. MAGGIORI DETTAGLI

DICHIARAZIONE DI NON RESPONSABILITA': Il titolare del sito non si assume alcuna responsabilità per eventuali danni diretti o indiretti derivanti dall'uso delle informazioni presenti nel sito o non aggiornate. L'accesso e l'utilizzo del sito avvengono sotto la responsabilità dell'utente.Tutti i contenuti del sito sono usufruibili in maniera gratuita. Non viene mai richiesto dagli autori del sito di utilizzare carte di credito o altri strumenti di pagamento.