TuttoQUIZ.it

Il portale dell'apprendimento online.

Quiz Assegnazione di Sedi Farmaceutiche 2025

Suddivisione database ministeriale

GRUPPI DI QUESITI 2701-2730

2701. I distributori automatici di prodotti parafarmaceutici possono essere collocati al di fuori della farmacia?
2702. La bagnabilità di un solido può essere stimata attraverso la misurazione:
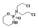
2703. In quale delle seguenti classi di farmaci rientra la ciclofosfamide avente la struttura indicata?

2704. E’ richiesta una specifica autorizzazione per poter allestire in farmacia i medicinali descritti in F.U. nella sezione “Preparazioni Farmaceutiche Specifiche”?
2705. Da chi deve essere vidimato il registro di entrata e uscita del plasma e degli emoplasti di origine umana per le farmacie?
2706. Individuare tra le seguenti affermazioni relative al Piano Terapeutico quella corretta:
2707. Qual è la durata di validità della ricetta SSN non ripetibile che prescriva medicinali vendibili al pubblico solo su prescrizione di medici specialisti?
2708. È consentito l’impiego di alcol metilico nella preparazione di medicinali?
2709. I sartani sono farmaci
2710. Quale, tra gli aminoacidi elencati, appartiene alla categoria dei così detti "aminoacidi ramificati" (BCAA) ?
2711. Quale delle affermazioni seguenti si avvicina maggiormente alla definizione di “farmacovigilanza”
2712. Il DICLOFENAC è un farmaco FANS appartenente alla famiglia:
2713. Quale, tra le seguenti classi di farmaci antimicrobici, agisce sul metabolismo energetico della cellula batterica?
2714. L’acido clavulanico è in grado di
2715. I diuretici risparmiatori di K+ provocano
2716. La nitrofurantoina è usata come

2717. In quale delle situazioni indicate trovano applicazione terapeutica i miorilassanti ad azione centrale:
2718. Un medicinale regolarmente autorizzato al commercio in Italia ma temporaneamente indisponibile nel circuito commerciale
2719. Nell’etichettatura dei dispositivi medici attivi:
2720. Con quale dei seguenti farmaci potrebbe dare interazioni farmacodinamiche l’olio di pesce, contenente acidi grassi omega-3?
2721. L'acido domoico, potenziale inquinante di molluschi, induce:
2722. Gli anestetici locali di impiego clinico devono la loro azione
2723. Quale tra i seguenti effetti tossici può essere provocato dall'esposizione dell'embrione a sostanze chimiche durante il periodo organogenetico:
2724. L’iscrizione all’albo tenuto dall’Ordine dei farmacisti dà diritto ad esercitare la professione:
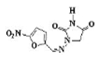
2725. Quale delle seguenti terne di droghe vegetali contengono alcaloidi di tipo tropanico (scheletro generale indicato) ad azione anticolinergica?

2726. Quale delle affermazioni riportate è corretta per l’ipecacuana (radice di Uragoga ipecacuanha Baill.):
2727. La viscosità di un fluido può essere definita come:
2728. Quale tra questi farmaci è usato nella terapia dell'osteoporosi?
2729. In una preparazione magistrale è previsto, tra gli altri, l'impiego di sodio metabisolfito avente la struttura indicata. Sulla etichetta da apporre sul contenitore deve

2730. Gli isomeri conformazionali di una struttura biologicamente attiva

TuttoQUIZ.it, il portale dell'apprendimento online

© 2019 Tutti i diritti riservati

 

ASSODOLAB, Associazione Nazionale Docenti di Laboratorio
Ente accreditato e qualificato dal MIUR per la formazione del personale della Scuola - Direttiva 170 del 21/03/2016.
Via Cavour, 74 - 76015 TRINITAPOLI BT - Italy
Telefono 339.2661022 - P. IVA 03039870716

 

PRIVACY: Questo sito utilizza cookie per migliorare servizi ed esperienza dei lettori. MAGGIORI DETTAGLI

DICHIARAZIONE DI NON RESPONSABILITA': Il titolare del sito non si assume alcuna responsabilità per eventuali danni diretti o indiretti derivanti dall'uso delle informazioni presenti nel sito o non aggiornate. L'accesso e l'utilizzo del sito avvengono sotto la responsabilità dell'utente.Tutti i contenuti del sito sono usufruibili in maniera gratuita. Non viene mai richiesto dagli autori del sito di utilizzare carte di credito o altri strumenti di pagamento.