TuttoQUIZ.it

Il portale dell'apprendimento online.

Quiz Assegnazione di Sedi Farmaceutiche 2025

Suddivisione database ministeriale

GRUPPI DI QUESITI 2731-2760

2731. I certificati di conformità UE per i dispositivi medici sono rilasciati da:
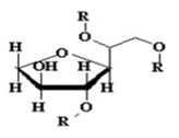
2732. Il sucralfato ha la struttura sotto indicata. Quale delle affermazioni sotto riportate è corretta:

2733. Il gemfibrozil è un farmaco usato normalmente per la cura
2734. Nell'avvelenamento da organofosforici si ha
2735. Molte specialità medicinali utilizzate per la terapia dell’iperacidità gastrica contengono idrossidi o sali complessi di alluminio. Quale delle affermazioni seguenti riguardanti l’alluminio è corretta?
2736. In quale tabella della F.U. sono elencati gli apparecchi e utensili di cui la farmacia deve essere provvista obbligatoriamente
2737. Quale, tra gli enzimi seguenti, partecipa alla demolizione dell’acetilcolina nell’organismo?
2738. Cos’è la celiachia?
2739. Quale è l’attività farmacologica più rilevante della procaina, avente la struttura indicata

2740. Quale tra i farmaci elencati contrae il muscolo sfintere della pupilla?
2741. Gli SPAN sono contraddistinti da numeri, ai quali corrisponde una o più catene di acido grasso ed il tipo di acido grasso. Nel caso del sorbitan trioleato quale nome è corretto?

2742. La metacolina ha la struttura indicata. La notevole attività del suo isomero destro, rispetto a quello levo, è dovuta principalmente

2743. Quale delle affermazioni seguenti riguardanti il fenobarbital è errata
2744. Quale delle seguenti caratteristiche è FALSA generalmente per gli amminoglicosidi?
2745. Si devono preparare 300 ml di una soluzione di HCl 2 M disponendo di HCl 6 M. Entro quale intervallo ricade la quantità di HCl 6 M da prelevare?
2746. Quale tra i farmaci antimicrobici seguenti riesce a provocare modificazioni della sintesi o del metabolismo degli acidi nucleici della cellula batterica.
2747. Ai sensi del Regolamento 1223/2009 i prodotti cosmetici:
2748. Il farmacista al quale sia presentata una ricetta medica che contenga la prescrizione di un farmaco appartenente alla classe C:
2749. Gli antibiotici beta-lattamici agiscono per:
2750. Le cefalosporine, come la cefuroxima e la cefotaxima, che sono somministrabili i.m. o i.v. sono più frequentemente rappresentate nelle cefalosporine
2751. L’efficacia di un farmaco esprime:
2752. Il succo di pompelmo può modificare le concentrazioni plasmatiche di alcuni farmaci: indicare quale tra quelli elencati.
2753. I sulfamidici sono molecole
2754. L’uso cronico di lassativi antrachinonici in associazioni a farmaci depletori di potassio può indurre:
2755. Quanto può durare al massimo il periodo di sostituzione per gravi motivi di famiglia del titolare di una farmacia?
2756. Chi approva il codice deontologico dei farmacisti?
2757. Quale delle informazioni sotto indicate è completamente FUORI LUOGO per utilizzare correttamente un antistaminico H1 soprattutto di prima generazione?
2758. Un paziente ha fatto un prelievo di sangue a digiuno al mattino, dopo una cena abbondante e varia consumata la sera precedente. Quale dei parametri sotto indicati può risultare maggiormente alterato?
2759. Sono dovuti i diritti addizionali previsti dalla tariffa nazionale dei medicinali per la dispensazione di medicinali durante le ore notturne?
2760. Come deve compiersi la chiusura annuale del registro entrata e uscita stupefacenti?

TuttoQUIZ.it, il portale dell'apprendimento online

© 2019 Tutti i diritti riservati

 

ASSODOLAB, Associazione Nazionale Docenti di Laboratorio
Ente accreditato e qualificato dal MIUR per la formazione del personale della Scuola - Direttiva 170 del 21/03/2016.
Via Cavour, 74 - 76015 TRINITAPOLI BT - Italy
Telefono 339.2661022 - P. IVA 03039870716

 

PRIVACY: Questo sito utilizza cookie per migliorare servizi ed esperienza dei lettori. MAGGIORI DETTAGLI

DICHIARAZIONE DI NON RESPONSABILITA': Il titolare del sito non si assume alcuna responsabilità per eventuali danni diretti o indiretti derivanti dall'uso delle informazioni presenti nel sito o non aggiornate. L'accesso e l'utilizzo del sito avvengono sotto la responsabilità dell'utente.Tutti i contenuti del sito sono usufruibili in maniera gratuita. Non viene mai richiesto dagli autori del sito di utilizzare carte di credito o altri strumenti di pagamento.