TuttoQUIZ.it

Il portale dell'apprendimento online.

Quiz Assegnazione di Sedi Farmaceutiche 2025

Suddivisione database ministeriale

GRUPPI DI QUESITI 2761-2790

2761. Una ricetta ripetibile perde la ripetibilità?
2762. Quale dei seguenti composti è metilato dalla feniletanolamina-N-metiltransferasi?
2763. Una soluzione contiene X grammi di farmaco ed Y grammi di isotonizzante in 100 ml di acqua. Come varia la quantità di isotonizzante necessaria per isotonizzare una serie di soluzioni da 100 ml in ciascuna delle quali è stata usata una quantità di fa
2764. In un prodotto cosmetico è consentito l'impiego di furocumarine?
2765. Gli SPAN e i TWEEN vengono utilizzati come eccipienti per stabilizzare preparazioni come le sospensioni e le emulsioni. Quale delle seguenti affermazioni su questi tensioattivi è ERRATA?
2766. La dobutamina, avente la struttura indicata, agisce

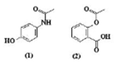
2767. Il paracetamolo (1) può, analogamente all’acido acetilsalicilico (2), acilare il gruppo amminico della lisina delle albumine plasmatiche per renderle meno disponibili a legarsi ad altri farmaci?

2768. L’impiego del dolcificante aspartame, avente la struttura indicata, è CONTROINDICATO per i pazienti affetti da

2769. In quale di queste soluzioni l'acido feniletilbarbiturico (fenobarbital) presenta la massima solubilità?

2770. Che cosa indica la tabella n.3 della Farmacopea Ufficiale?
2771. Qual è l’effetto collaterale dei farmaci appartenenti alla classe delle biguanidi ?
2772. L'empagliflozin è un farmaco
2773. Le figure 1 e 2 rappresentano l’andamento delle curve dose-effetto di un farmaco. Esse differiscono in quanto

2774. Gli analoghi dei farmaci oppiodi presentano, contemporaneamente, proprietà analgesico-narcotiche ed antitussive. La potenza relativa delle due attività farmacologiche varia al variare del principio attivo. Quale delle seguenti affermazioni è errata?
2775. Cosa si intende per richiamo dal mercato di un alimento?
2776. Tutti i seguenti composti vengono classificati come sostanze naturali ad ECCEZIONE di
2777. Quale dei farmaci elencati è un antidiarroico?
2778. Quale dei meccanismi elencati partecipa alla eliminazione dei farmaci presenti nel sangue che perfonde il rene:
2779. La struttura riportata è riconducibile alla classe delle solfoniluree. Quale è la corrispondente indicazione terapeutica?

2780. Una ricetta magistrale ripetibile, quando non contiene stupefacenti, è:
2781. Quale classe di farmaci viene comunemente indicata con il termine di “ glitazoni “?
2782. La ticlopidina è un farmaco
2783. Il piroxicam è un solfone che presenta il fenomeno del polimorfismo. Tale caratteristica può essere evidenziata da:

2784. Quale tra quelle elencate è una sostanza endogena derivata dai fosfolipidi di membrana e capace di causare contrazione uterina?
2785. L’abbuono totale o parziale del pagamento di ticket obbligatori per legge e l’applicazione di condizioni differenti di sconto alla clientela con riferimento ai farmaci non convenzionati
2786. La liofilizzazione è
2787. Quali fra le seguenti condizioni consente al farmacista, in caso di necessità e urgenza, di consegnare un medicinale assoggettato a prescrizione medica senza presentazione della relativa ricetta?
2788. In quale degli intervalli indicati si colloca il pH di una soluzione 2x10-6 N di HNO3?
2789. In quale classe, tra quelle sotto riportate, può essere catalogato il principio attivo paracetamolo, avente la struttura indicata

2790. Quali dei seguenti eccipienti sono idonei per la stabilizzazione di una crema idrofila:

TuttoQUIZ.it, il portale dell'apprendimento online

© 2019 Tutti i diritti riservati

 

ASSODOLAB, Associazione Nazionale Docenti di Laboratorio
Ente accreditato e qualificato dal MIUR per la formazione del personale della Scuola - Direttiva 170 del 21/03/2016.
Via Cavour, 74 - 76015 TRINITAPOLI BT - Italy
Telefono 339.2661022 - P. IVA 03039870716

 

PRIVACY: Questo sito utilizza cookie per migliorare servizi ed esperienza dei lettori. MAGGIORI DETTAGLI

DICHIARAZIONE DI NON RESPONSABILITA': Il titolare del sito non si assume alcuna responsabilità per eventuali danni diretti o indiretti derivanti dall'uso delle informazioni presenti nel sito o non aggiornate. L'accesso e l'utilizzo del sito avvengono sotto la responsabilità dell'utente.Tutti i contenuti del sito sono usufruibili in maniera gratuita. Non viene mai richiesto dagli autori del sito di utilizzare carte di credito o altri strumenti di pagamento.