TuttoQUIZ.it

Il portale dell'apprendimento online.

Quiz Assegnazione di Sedi Farmaceutiche 2025

Suddivisione database ministeriale

GRUPPI DI QUESITI 2821-2850

2821. Quale dei seguenti farmaci si può somministrare per facilitare il travaglio ed il parto?
2822. Gli ormoni steroidei agiscono
2823. Gli enzimi polimorfi (o polimorfici) metabolizzanti gli xenobiotici sono:
2824. Chi rilascia l’autorizzazione per detenere in farmacia radiofarmaci?
2825. Quale dei principi attivi sotto indicati conferisce ai medicinali che li contengono l’attività di antiacido
2826. Le ciclodestrine sono costituite da:
2827. Le reazioni metaboliche tendono ad espellere le sostanze estranee (xenobiotici) introdotte nell’organismo. Quale delle affermazioni seguenti e riguardanti il metabolismo dei principi attivi indicati è corretta : la reazione più frequentemente coinvo

2828. Nel trattamento delle epilessie possono trovare impiego
2829. I sulfamidici ad azione antibatterica inibiscono
2830. Nel caso di ricetta ripetibile è necessario che il medico indichi il nome e cognome del paziente ?
2831. Il sumatriptan, avente la struttura indicata, interferisce con la trasmissione serotoninergica in quanto

2832. Indicare in quale delle seguenti condizioni è utilizzato il metilfenidato:
2833. La biodisponibilità può essere definita come:
2834. La doxiciclina è un farmaco
2835. A quante preparazioni può essere intestata ciascuna pagina del registro entrata e uscita stupefacenti?
2836. La miscela di sali indicata è reperibile in commercio. Quale delle funzioni sotto elencate svolge quando viene usata come additivo nella preparazione delle forme farmaceutiche?

2837. Quali caratteristiche deve avere un medicinale per essere definito “medicinale omeopatico”?
2838. Il carbonato di calcio dà interazioni con
2839. L'etosuccimide è attiva nella terapia del piccolo male epilettico in virtù del meccanismo di
2840. I farmaci biotecnologici sono caratterizzati da:
2841. Quali, tra quelli indicati, sono i testi che il farmacista è obbligato a tenere in farmacia?
2842. La terbinafina è un farmaco ad azione

2843. Il passaggio di un farmaco dal sangue al SNC è favorito da:
2844. Il monossido d’azoto (NO) agisce:
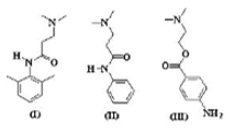
2845. Per quale motivo le compresse rivestite con un prodotto che presenta un gruppo funzionale dimetilaminico si solubilizzano facilmente a livello gastrico?
2846. Un medico, prescrivendo un medicinale equivalente, non ha indicato sulla ricetta il nome del produttore. In questo caso, quale comportamento, fra quelli indicati, è consentito al farmacista?
2847. Quale tra i seguenti farmaci si impiega nell’amebiasi:
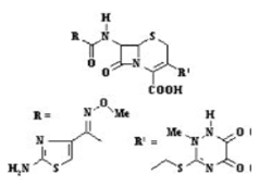
2848. Il ceftriaxone, avente la struttura indicata, è prevalentemente attivo

2849. Il farmacista è tenuto ad annotare sull’etichetta, che appone sul recipiente dei medicinali galenici che allestisce in farmacia, un adatto segno esterno, quando si tratti di sostanze velenose?
2850. Nella preparazione galenica in farmacia di minoxidil soluzione si impiegano come solventi etanolo, acqua e glicole propilenico. E' conveniente sciogliere il farmaco, indicato in struttura,

TuttoQUIZ.it, il portale dell'apprendimento online

© 2019 Tutti i diritti riservati

 

ASSODOLAB, Associazione Nazionale Docenti di Laboratorio
Ente accreditato e qualificato dal MIUR per la formazione del personale della Scuola - Direttiva 170 del 21/03/2016.
Via Cavour, 74 - 76015 TRINITAPOLI BT - Italy
Telefono 339.2661022 - P. IVA 03039870716

 

PRIVACY: Questo sito utilizza cookie per migliorare servizi ed esperienza dei lettori. MAGGIORI DETTAGLI

DICHIARAZIONE DI NON RESPONSABILITA': Il titolare del sito non si assume alcuna responsabilità per eventuali danni diretti o indiretti derivanti dall'uso delle informazioni presenti nel sito o non aggiornate. L'accesso e l'utilizzo del sito avvengono sotto la responsabilità dell'utente.Tutti i contenuti del sito sono usufruibili in maniera gratuita. Non viene mai richiesto dagli autori del sito di utilizzare carte di credito o altri strumenti di pagamento.