TuttoQUIZ.it

Il portale dell'apprendimento online.

Quiz Assegnazione di Sedi Farmaceutiche 2025

Suddivisione database ministeriale

GRUPPI DI QUESITI 2851-2880

2851. L’eme è costituito da
2852. Il succo di pompelmo può provocare un aumento significativo della concentrazione plasmatica di alcuni calcio antagonisti in quanto:
2853. Quale, tra i seguenti sintomi, caratterizza la sindrome di astinenza da etanolo?
2854. Quale delle seguenti specie vegetali è fonte di glicosidi cardioattivi?
2855. Gli inibitori delle beta-lattamasi agiscono come
2856. Nella dispensazione di un farmaco per il quale può essere opportuno rispettare la cadenza dei bioritmi nel periodo di cura, quale dei consigli sotto riportati è migliore? Da assumere
2857. La banca dati dei dispositivi medici presso il Ministero della Salute censisce la raccolta delle informazioni relative:
2858. Nella preparazione delle compresse, gli eccipienti che vengono aggiunti alle polveri allo scopo di far raggiungere alla compressa un peso congruo prendono il nome di “diluenti”. Quale tra le sostanze sotto indicate NON rientra in questo gruppo di ad
2859. La ciclosporina è efficace nel trapianto d’organo. La sua azione immunosoppressiva è principalmente dovuta a:
2860. Gli alcoolaturi sono
2861. Ondansetrone e granisetrone sono farmaci di prima scelta nel trattamento di:
2862. Secondo quanto previsto dall’art. 109 del TULS (R.D. 1265/1934), in quale documento, atto o provvedimento è indicata la località nella quale la farmacia deve avere la sua sede?
2863. Un dispositivo su misura è:
2864. Quale, tra le seguenti classi di farmaci antimicrobici, agisce inibendo la sintesi degli acidi nucleici della cellula batterica?
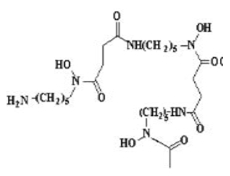
2865. La struttura chimica sottoriportata corrisponde alla deferoxamina, agente impiegato come coadiuvante nelle intossicazioni acute da ferro. Quale, tra i gruppi funzionali presenti nella molecola, è coinvolto nella chelazione degli ioni ferrici che cos

2866. Dornase alfa (rhDNase) è approvata per il trattamento di:
2867. Quale dei seguenti tensioattivi è un "tensioattivo non ionico"?
2868. Un dipendente dello Stato può essere autorizzato all’esercizio della farmacia?
2869. Nella preparazione delle compresse, gli eccipienti che vengono aggiunti alle polveri allo scopo di far raggiungere alla compressa un peso congruo prendono il nome di “diluenti”. Quale tra le sostanze sotto indicate è un “diluente”
2870. La forma di resistenza nota come MDR (Multi Drug Resistance) è provocata da
2871. Il captopril, avente la struttura indicata, è un inibitore

2872. Un cittadino dell'Unione Europea chiede informazione in farmacia per conoscere quale specialità medicinale italiana è equivalente a quella in commercio nel suo Paese come contenente un principio attivo indicato nella classificazione ATC con B03CC02.
2873. L’azione farmacologica del paracetamolo è dovuta principalmente al fatto che tale principio attivo
2874. le penicilline possono dare allergia crociata con
2875. Quale delle seguenti affermazioni relative al gel di aloe vera (Aloe barbadensis Mill.) è corretta?
2876. Quale, tra i seguenti farmaci, non appartiene alla categoria degli antidepressivi?

2877. E’ obbligatorio per il farmacista effettuare consegne a domicilio di medicinali per uso veterinario?
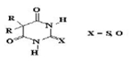
2878. L’impiego attuale di alcuni barbiturici aventi la struttura generale indicata è limitato a

2879. Quale delle seguenti affermazioni sul clobazam, avente la struttura indicata, è corretta? Tale principio attivo

2880. Cimetidina e ranitidina, aventi le strutture indicate, vengono utilizzate nella terapia dell’ulcera gastrica in quanto

TuttoQUIZ.it, il portale dell'apprendimento online

© 2019 Tutti i diritti riservati

 

ASSODOLAB, Associazione Nazionale Docenti di Laboratorio
Ente accreditato e qualificato dal MIUR per la formazione del personale della Scuola - Direttiva 170 del 21/03/2016.
Via Cavour, 74 - 76015 TRINITAPOLI BT - Italy
Telefono 339.2661022 - P. IVA 03039870716

 

PRIVACY: Questo sito utilizza cookie per migliorare servizi ed esperienza dei lettori. MAGGIORI DETTAGLI

DICHIARAZIONE DI NON RESPONSABILITA': Il titolare del sito non si assume alcuna responsabilità per eventuali danni diretti o indiretti derivanti dall'uso delle informazioni presenti nel sito o non aggiornate. L'accesso e l'utilizzo del sito avvengono sotto la responsabilità dell'utente.Tutti i contenuti del sito sono usufruibili in maniera gratuita. Non viene mai richiesto dagli autori del sito di utilizzare carte di credito o altri strumenti di pagamento.