TuttoQUIZ.it

Il portale dell'apprendimento online.

Quiz Assegnazione di Sedi Farmaceutiche 2025

Suddivisione database ministeriale

GRUPPI DI QUESITI 2941-2970

2941. In un cerotto transdermico, la matrice monostrato adesiva,può essere composta da:
2942. Quando la farmacia presta servizio di turno pomeridiano con modalità che escludono, esclusivamente per misura di sicurezza, il normale accesso ai locali, sono dovuti i diritti addizionali previsti dalla “Tariffa nazionale dei medicinali” per la disp
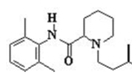
2943. La bupivacaina, avente la struttura indicata, è un principio attivo utilizzato come

2944. La disponibilità farmaceutica di un principio attivo che si presenta in due o più forme polimorfe, può essere diversa nella forma farmaceutica di
2945. Preparazioni galeniche di capsule contenenti prodotti utilizzati per la dieta di soggetti che praticano lo sport sono attualmente molto frequenti in farmacia. Tra i prodotti utilizzati spesso sono inclusi i cosi detti “amminoacidi ramificati” (BCAA)

2946. A quale classe farmacologica potrebbe essere attribuito un composto avente la struttura parziale indicata?

2947. I bioflavonoidi sono antiossidanti naturali che possono agire da

2948. Quale delle seguenti affermazioni riguardanti il principio attivo loperamide è corretta?
2949. Quale fra i seguenti principi attivi ha lo stesso meccanismo d'azione della cimetidina, avente la struttura indicata

2950. In quale classe, tra quelle sotto riportate, può essere catalogato in maniera più precisa possibile la indometacina
2951. Chi approva la Farmacopea Ufficiale della Repubblica Italiana?
2952. Le protein chinasi coinvolte nel processo di trasferimento del segnale sono:
2953. Quale deve essere l’età minima del soggetto al quale il farmacista può consegnare sostanze velenose?
2954. Il farmacista può rifiutarsi di dispensare medicinali SOP e OTC durante il servizio notturno a chiamata?
2955. L'aliskiren è un farmaco
2956. Tutte le preparazioni iniettabili sono spedibili con ricetta medica. Le preparazioni che costituiscono ECCEZIONE per tale regola sono rappresentate da
2957. Indicare quale dei seguenti farmaci NON interagisce con i recettori muscarinici per l'acetilcolina
2958. L’escina, contenuta nei semi di Aesculus hipposcastanum L. ha effetti:
2959. La neostigmina, avente la struttura indicata, è

2960. Quale è l’attività farmacologica più rilevante che può essere ipotizzata per il principio attivo desipramina avente la struttura indicata

2961. Il nitroprussiato causa vasodilatazione:
2962. A quale classe di farmaci viene riferito il suffisso “pril” nella Denominazione Comune?
2963. L'aciclovir, avente la struttura indicata, è un farmaco ad azione

2964. Quale delle seguenti affermazioni relative allo zenzero (Zingiber officinale Rosc.) è corretta?
2965. Per allestire in farmacia preparazioni galeniche magistrali contenenti alcol etilico, è necessaria una particolare autorizzazione dell’ASL?
2966. Quale farmaco è un inibitore dell’acetilcolinesterasi?
2967. I Farmaci per la cura delle Malattie Rare, prodotti dallo Stabilimento Chimico Farmaceutico Militare di Firenze, possono essere acquistati dalle farmacie aperte al pubblico?
2968. Il diuretico acetazolamide (struttura indicata) contiene nella sua molecola un anello:

2969. Il meccanismo d’azione dei nitrati organici consiste in
2970. L’acatisia e le discinesie tardive sono effetti collaterali osservati in corso di terapia con:

TuttoQUIZ.it, il portale dell'apprendimento online

© 2019 Tutti i diritti riservati

 

ASSODOLAB, Associazione Nazionale Docenti di Laboratorio
Ente accreditato e qualificato dal MIUR per la formazione del personale della Scuola - Direttiva 170 del 21/03/2016.
Via Cavour, 74 - 76015 TRINITAPOLI BT - Italy
Telefono 339.2661022 - P. IVA 03039870716

 

PRIVACY: Questo sito utilizza cookie per migliorare servizi ed esperienza dei lettori. MAGGIORI DETTAGLI

DICHIARAZIONE DI NON RESPONSABILITA': Il titolare del sito non si assume alcuna responsabilità per eventuali danni diretti o indiretti derivanti dall'uso delle informazioni presenti nel sito o non aggiornate. L'accesso e l'utilizzo del sito avvengono sotto la responsabilità dell'utente.Tutti i contenuti del sito sono usufruibili in maniera gratuita. Non viene mai richiesto dagli autori del sito di utilizzare carte di credito o altri strumenti di pagamento.