TuttoQUIZ.it

Il portale dell'apprendimento online.

Quiz Assegnazione di Sedi Farmaceutiche 2025

Suddivisione database ministeriale

GRUPPI DI QUESITI 271-300

271. Gli inibitori selettivi del reuptake neuronale della serotonina sono indicati nella terapia di
272. I farmaci beta bloccanti possono essere usati come
273. Esiste l’obbligo per l’operatore sanitario di comunicare al Ministero della Salute gli incidenti che abbiano coinvolto dispositivi medico-diagnostici in vitro muniti di marcatura CE?
274. Zanamivir agisce come:
275. L’azione inotropa positiva della digossina deriva da
276. Quale delle seguenti classi di sostanze non induce effetti lassativi?
277. Per tisana si intende una soluzione estrattiva ottenuta:
278. Si ricorre alla “flocculazione” per:
279. In un paziente affetto da glaucoma cui si manifesta un episodio di depressione grave: quale dei seguenti antidepressivi deve essere evitato?
280. L’alprazolam è un ansiolitico che agisce principalmente come
281. Cosa si intende per compliance?
282. La neostigmina è classificabile come farmaco
283. In quali forme farmaceutiche sono prodotti i medicinali omeopatici ?
284. Quale dei seguenti principi attivi viene usato come immunosoppressore dopo un trapianto renale?
285. Quale dei seguenti principi attivi è un inibitore delle MAO?
286. La cera bianca può essere utilizzata per:
287. Può la farmacia dispensare al paziente medicinali utilizzabili esclusivamente dallo specialista?
288. I plasmodi della malaria sono
289. Quanto può durare al massimo il periodo di sostituzione per infermità del titolare di una farmacia?
290. L’impiego dei farmaci antagonisti dei recettori beta adrenergici nell’angina pectoris è giustificato in quanto
291. Per quanto tempo il farmacista è tenuto a conservare le ricette non ripetibili recanti la prescrizione di farmaci non stupefacenti spedite in regime di Servizio Sanitario Nazionale?
292. Il mifepristone è utilizzato per porre termine a una gravidanza iniziale. Indicare quale dei seguenti effetti sfavorevoli è proprio di questo farmaco.
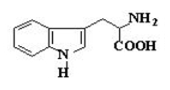
293. I messaggeri chimici si formano da sostanze che vengono immesse nell’organismo con la dieta. Dal triptofano, avente la struttura indicata, quale metabolita si forma?

294. Quale delle seguenti espressioni risulta corretta:
295. Nell’annotare il prezzo in etichetta apposta sul recipiente dei medicinali galenici magistrali allestiti in farmacia, il farmacista è tenuto a specificare l’importo di ciascuna sostanza?
296. La velocità di rilascio del farmaco da matrici rigonfiabili è controllato da:
297. La sostanza attiva carbidopa è utilizzato nella terapia antiparkinson in quanto è in grado di bloccare un particolare sistema enzimatico. Quale, tra quelli sotto elencati
298. Quale delle seguenti affermazioni sulla clearance è FALSA?
299. Sono neurolettici:
300. Il termine “compliance”, comunemente indicato nella pratica terapeutica, riguarda principalmente il comportamento

TuttoQUIZ.it, il portale dell'apprendimento online

© 2019 Tutti i diritti riservati

 

ASSODOLAB, Associazione Nazionale Docenti di Laboratorio
Ente accreditato e qualificato dal MIUR per la formazione del personale della Scuola - Direttiva 170 del 21/03/2016.
Via Cavour, 74 - 76015 TRINITAPOLI BT - Italy
Telefono 339.2661022 - P. IVA 03039870716

 

PRIVACY: Questo sito utilizza cookie per migliorare servizi ed esperienza dei lettori. MAGGIORI DETTAGLI

DICHIARAZIONE DI NON RESPONSABILITA': Il titolare del sito non si assume alcuna responsabilità per eventuali danni diretti o indiretti derivanti dall'uso delle informazioni presenti nel sito o non aggiornate. L'accesso e l'utilizzo del sito avvengono sotto la responsabilità dell'utente.Tutti i contenuti del sito sono usufruibili in maniera gratuita. Non viene mai richiesto dagli autori del sito di utilizzare carte di credito o altri strumenti di pagamento.