TuttoQUIZ.it

Il portale dell'apprendimento online.

Quiz Assegnazione di Sedi Farmaceutiche 2025

Suddivisione database ministeriale

GRUPPI DI QUESITI 301-330

301. Le benzodiazepine interagiscono a livello della neurotrasmissione
302. La scopolamina svolge azione:
303. La carbidopa, avente la struttura indicata, è usata nella terapia del Parkinson in quanto

304. Le curve dose-risposta il cui tratto “lineare” viene a costituire un insieme di rette parallele sul piano x-y sono maggiormente probabili quando i farmaci hanno
305. Può il farmacista associare altro sanitario agli utili della farmacia?
306. Il rilascio di un farmaco in sospensione in una matrice non porosa e non rigonfiabile può avvenire:
307. Quale dei seguenti farmaci è utlizzato nello stato di male epilettico?
308. E’ consentita alle farmacie la vendita di medicinali tramite internet?
309. La somministrazione di compresse sublinguali, quando possibile, è utilizzata per ottenere effetti sistemici:
310. Il perossido di benzoile idrato deve essere conservato
311. Indicare a quale delle seguenti categorie di farmaci appartengono la nafazolina e la xilometazolina avente la struttura indicata

312. Ogni quanti anni viene rinnovata un’autorizzazione all’immissione in commercio?
313. Il processo di “levigazione” è fondamentale per
314. Quali dei seguenti rientra tra i sette principi fondamentali del sistema HACCP?
315. Quale, tra le sostanze sotto indicate, presenta come effetto farmacologico collaterale l’irsutismo?
316. L’acidificazione dell’urina diminuisce l’eliminazione dei farmaci a carattere acido
317. Gli occhiali premontati per la correzione della presbiopia di 2 diottrie, in vendita presso farmacie, supermercati, ottici ed altri esercizi commerciali, normalmente sono:
318. Per quali di questi ingredienti utilizzati negli integratori alimentari, devono essere riportati in etichetta i Valori Nutritivi di Riferimento (VNR) ex Allegato XIII, Parte A, del Regolamento (UE) n. 1169/2011.
319. L’assorbimento di levodopa, somministrata per os, avviene per
320. Quale delle seguenti famiglie di principi attivi riconducibili agli oppiodi può essere ricollegata strutturalmente alla morfina?
321. Quale fra i seguenti è un requisito necessario per l’iscrizione all’Albo dei farmacisti?
322. Qual è l’impiego terapeutico del ciclopentolato avente la struttura indicata?

323. La flecainide, avente la struttura indicata, è un principio attivo utilizzato come

324. Il meccanismo d’azione del fenofibrato prevede l'interazione con
325. Quale dei seguenti agenti chemioterapici può produrre cistite emorragica
326. Quale tra i farmaci antimicrobici seguenti riesce a provocare modificazioni del metabolismo energetico della cellula batterica?
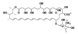
327. A quale tipo di antibiotici potrebbe essere attribuito un composto avente la struttura indicata?

328. E' inclusa nei Livelli Essenziali d'Assistenza l'erogazione di prodotti dietetici destinati a soggetti affetti da:
329. Nella formulazione di un cosmetico è ammesso l'impiego di qualsiasi colorante?
330. La ciclosporina, quando destinata alle preparazioni farmaceutiche per somministrazione parenterale, dovrà soddisfare

TuttoQUIZ.it, il portale dell'apprendimento online

© 2019 Tutti i diritti riservati

 

ASSODOLAB, Associazione Nazionale Docenti di Laboratorio
Ente accreditato e qualificato dal MIUR per la formazione del personale della Scuola - Direttiva 170 del 21/03/2016.
Via Cavour, 74 - 76015 TRINITAPOLI BT - Italy
Telefono 339.2661022 - P. IVA 03039870716

 

PRIVACY: Questo sito utilizza cookie per migliorare servizi ed esperienza dei lettori. MAGGIORI DETTAGLI

DICHIARAZIONE DI NON RESPONSABILITA': Il titolare del sito non si assume alcuna responsabilità per eventuali danni diretti o indiretti derivanti dall'uso delle informazioni presenti nel sito o non aggiornate. L'accesso e l'utilizzo del sito avvengono sotto la responsabilità dell'utente.Tutti i contenuti del sito sono usufruibili in maniera gratuita. Non viene mai richiesto dagli autori del sito di utilizzare carte di credito o altri strumenti di pagamento.