TuttoQUIZ.it

Il portale dell'apprendimento online.

Quiz Assegnazione di Sedi Farmaceutiche 2025

Suddivisione database ministeriale

GRUPPI DI QUESITI 331-360

331. Quale delle seguenti affermazioni riguardanti la vendita in farmacia degli occhiali premontati è corretta?
332. La dizione della F.U. “a bagnomaria”, in assenza di altre indicazioni, si riferisce alla temperatura:
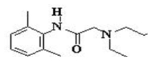
333. I principi attivi di un medicinale sono: paracetamolo e clorfenamina. Tra i vari principi attivi sono presenti
334. Quale tra le sostanze elencate non è un polissacaride?
335. Le creme sono definite nella Farmacopea, come
336. Indicare quale delle seguenti sostanze attive appartiene alla categoria degli inibitori del simporto Na+, K+, 2Cl- (diuretici dell'ansa):
337. Quale dei farmaci sotto riportati è più indicato nell’avvelenamento da esteri fosforici
338. La nicotina, avente la struttura indicata, induce

339. La neostigmina, corrispondente alla struttura riportata, interviene nella trasmissione neuromuscolare:

340. Quale tra quelli elencati può essere il farmaco di elezione nella terapia della gonorrea
341. Quale delle coppie indicate di aminoacidi, riportati in struttura, appartiene alla categoria dei così detti "aminoacidi ramificati" (BCAA)?

342. Il Letrozolo è un farmaco che agisce:
343. Il sucralfato viene utilizzato come antiulcera. Volendo mantenere inalterato il meccanismo d’azione con quale delle sostanze sotto indicate potrebbe essere sostituito?
344. Si definisce eliminazione pre-sistemica:
345. L’assunzione contemporanea di statine e fibrati aumenta il rischio di:
346. Quale, tra gli aminoacidi elencati e riportati in struttura, appartiene alla categoria dei cosiddetti “amminoacidi ramificati” (BCAA)

347. Un antagonista funzionale è un farmaco che
348. Quale delle indicazioni seguenti NON è correlata con la somministrazione di diuretici inibitori dell’anidrasi carbonica?
349. Un paziente in terapia con eparina deve fare particolare attenzione quando assume
350. Il certificato di analisi,di una materia prima, datato e sottoscritto dal responsabile di qualità del produttore, deve riportare:
351. Tra gli antipsicotici atipici vi è il principio attivo risperidone, avente la struttura indicata. Gli scarsi effetti extrapiramidali di tale sostanza possono trovare una giustificazione nella sua

352. Può la farmacia aperta al pubblico, non dotata di autorizzazione alla distribuzione all’ingrosso, importare medicinali provenienti da Paesi membri dell’Unione Europea?
353. Quale delle seguenti affermazioni sulle Tinture Madri (TM) è corretta:
354. La lidocaina, che corrisponde alla struttura indicata, ha azione anestetica locale in quanto

355. L’acido 5-amminosalicilico, avente la struttura indicata, si usa esclusivamente

356. A quale principio attivo si riferisce la struttura riportata della p-idrossiacetanilide?

357. Che cosa indica la tabella n.6 della Farmacopea Ufficiale?
358. Il modello di buono-acquisto stupefacenti previsto dal DM 18/12/2006
359. Il tiamfenicolo oltre ad un gruppo dicloroacetammidico, presenta sull’anello aromatico un gruppo:
360. Indicare quali tra le seguenti tecniche può essere utilizzata per la preparazione di microcapsule

TuttoQUIZ.it, il portale dell'apprendimento online

© 2019 Tutti i diritti riservati

 

ASSODOLAB, Associazione Nazionale Docenti di Laboratorio
Ente accreditato e qualificato dal MIUR per la formazione del personale della Scuola - Direttiva 170 del 21/03/2016.
Via Cavour, 74 - 76015 TRINITAPOLI BT - Italy
Telefono 339.2661022 - P. IVA 03039870716

 

PRIVACY: Questo sito utilizza cookie per migliorare servizi ed esperienza dei lettori. MAGGIORI DETTAGLI

DICHIARAZIONE DI NON RESPONSABILITA': Il titolare del sito non si assume alcuna responsabilità per eventuali danni diretti o indiretti derivanti dall'uso delle informazioni presenti nel sito o non aggiornate. L'accesso e l'utilizzo del sito avvengono sotto la responsabilità dell'utente.Tutti i contenuti del sito sono usufruibili in maniera gratuita. Non viene mai richiesto dagli autori del sito di utilizzare carte di credito o altri strumenti di pagamento.