TuttoQUIZ.it

Il portale dell'apprendimento online.

Quiz Assegnazione di Sedi Farmaceutiche 2025

Suddivisione database ministeriale

GRUPPI DI QUESITI 361-390

361. Il meccanismo d'azione dell'aloperidolo e dei suoi derivati è:

362. Quale è l’idrocarburo aromatico tetraciclico al quale fanno riferimento le tetracicline, aventi la struttura indicata?

363. Per quale motivo il rivestimento delle compresse costituito Eudragit E100 si solubilizza facilmente a livello gastrico? In quanto:
364. I diuretici inibitori dell'anidrasi carbonica riducono l'escrezione urinaria di farmaci quali quelli indicati (propranololo, chinidina) in quanto producono

365. Farmaci come l’eritromicina e l’azitromicina prolungano l’intervallo QT con il rischio di sviluppare:
366. Degli accoppiamenti sotto indicati, qual è quello corretto riguardante l'enalapril
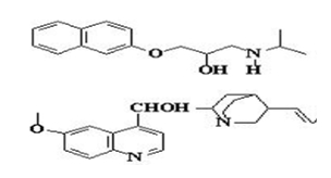
367. L’uso di nafazolina in pazienti pediatrici è controindicato per il rischio di effetti avversi:
368. Qual è l'indicazione terapeutica del sistema transdermico contenente clonidina?
369. La carbossimetil cellulosa sodica viene impiegata in numerose preparazioni per uso orale o topico. Quale ,tra quelle indicate, è una affermazione errata?
370. Il farmacista è tenuto a segnalare reazioni avverse da farmaci, mediante la scheda di segnalazione di sospetta reazione avversa a farmaci (ADR) degli eventi avversi a farmaci, o direttamente online sul sito dell’AIFA
371. Quale tra i farmaci elencati è impiegato per la sua azione fibrinolitica
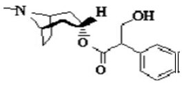
372. Il principio attivo ketoprofen, avente la struttura indicata, presenta

373. Di quale colore deve essere il camice che i farmacisti sono obbligati a indossare nell’attività professionale al pubblico?
374. Una delle classificazioni molto utilizzate nel settore delle cefalosporine è quella che si riferisce alle successive “generazioni” degli antibiotici appartenenti alla classe. Quale delle indicazioni sotto riportate è corretta? Le cefalosporine
375. L’Autorità Competente in materia di dispositivi medicodiagnostici in vitro è:
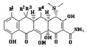
376. L'amiodarone, un antiaritmico avente la struttura indicata può produrre gli effetti indesiderati riportati ad ECCEZIONE di

377. Quale tra i farmaci antimicrobici seguenti riesce a provocare modificazioni del metabolismo energetico della cellula batterica.
378. Cosa deve obbligatoriamente fare, entro 24 ore, il farmacista in caso di perdita, smarrimento o sottrazione del registro di entrata e uscita stupefacenti?
379. Prendono il nome di “leganti” gli eccipienti che:
380. Come deve compiersi la chiusura quinquennale del registro entrata e uscita stupefacenti?
381. I nucleosidi fosfonati agiscono come:
382. Quale è l’attività farmacologica più rilevante che può essere ipotizzata per il ketotifene, avente la struttura indicata?

383. Quale, tra i farmaci antimicrobici seguenti, agisce a livello ribosomiale inibendo la sintesi proteica ?
384. L’uso di preparati a base di ibuprofene in associazione a farmaci come il clopidrogrel può esporre a rischio di:
385. Quale affermazione è corretta riguardo la formulazione di uno sciroppo semplice?
386. La maggior parte dei recettori alfa2 adrenergici, 5-HT1 serotoninergici e D2 dopaminergici hanno in comune
387. E’ ammessa la gestione di una farmacia privata mediante società di capitali?
388. Nell'avvelenamento da atropina, avente la struttura indicata, si ha

389. Quale, tra le benzodiazepine sottoelencate, ha emivita più breve?
390. L'efedra (parti aeree di Ephedra sinica Stapf.) può indurre tutti i seguenti effetti tranne:

TuttoQUIZ.it, il portale dell'apprendimento online

© 2019 Tutti i diritti riservati

 

ASSODOLAB, Associazione Nazionale Docenti di Laboratorio
Ente accreditato e qualificato dal MIUR per la formazione del personale della Scuola - Direttiva 170 del 21/03/2016.
Via Cavour, 74 - 76015 TRINITAPOLI BT - Italy
Telefono 339.2661022 - P. IVA 03039870716

 

PRIVACY: Questo sito utilizza cookie per migliorare servizi ed esperienza dei lettori. MAGGIORI DETTAGLI

DICHIARAZIONE DI NON RESPONSABILITA': Il titolare del sito non si assume alcuna responsabilità per eventuali danni diretti o indiretti derivanti dall'uso delle informazioni presenti nel sito o non aggiornate. L'accesso e l'utilizzo del sito avvengono sotto la responsabilità dell'utente.Tutti i contenuti del sito sono usufruibili in maniera gratuita. Non viene mai richiesto dagli autori del sito di utilizzare carte di credito o altri strumenti di pagamento.