TuttoQUIZ.it

Il portale dell'apprendimento online.

Quiz Assegnazione di Sedi Farmaceutiche 2025

Suddivisione database ministeriale

GRUPPI DI QUESITI 391-420

391. Quale delle seguenti affermazioni riguardanti il dimeticone è corretta
392. Quale tra le sostanze indicate si definisce diluente per polveri?

393. Il monossido d’azoto (NO) viene prodotto nell’organismo
394. L'indice terapeutico
395. L’anandamide è:
396. Alcune specialità medicinali sono utilizzabili come sistemi terapeutici transdermici. Qual è l’indicazione terapeutica principale del sistema transdermico contenente estrogeni
397. Quale, tra le sostanze elencate, agisce come ipotensivo in quanto viene metabolizzato a livello delle cellule endoteliali per dare monossido di azoto?
398. Il farmacista può effettuare aumenti del prezzo di vendita dei medicinali per uso umano assoggettati a ricetta medica?
399. L’anticorpo monoclonale infliximab NON è indicato:
400. Quale è l’attività farmacologica più rilevante della metacolina

401. Su quale parte del nefrone agiscono prevalentemente i diuretici risparmiatori di K+?
402. Secondo la F.U. , su quante unità si esegue il saggio dell’uniformità di massa delle forme farmaceutiche officinali e magistrali?
403. In caso di dispensazione di medicinali stupefacenti della Tabella dei Medicinali Sez. A, il farmacista è tenuto a trascrivere in ricetta gli estremi di un documento di riconoscimento dell’acquirente?
404. I farmaci antagonisti adrenergici trovano applicazione nella terapia cardiovascolare. In quale delle seguenti categorie terapeutiche si collocano?
405. Ai sensi del Regolamento Europeo (CE) n. 1223/2009 quando a causa delle dimensioni o della forma dell’etichetta di un prodotto cosmetico sia impossibile riportare le precauzioni particolari per l’impiego e l’elenco degli ingredienti
406. L’amamelide (foglie di Hamamelis virginiana L.) è utilizzata come:
407. Quale delle indicazioni seguenti corrisponde maggiormente alla definizione di “pirogeno”
408. L’azatioprina, riportata nella struttura indicata, è un profarmaco della mercaptopurina progettato con lo scopo principale di

409. Un trattamento cronico con propranololo NON va interrotto bruscamente in quanto si può avere
410. Può essere effettuata da parte degli informatori scientifici pubblicità presso i farmacisti di medicinali vendibili senza presentazione di ricetta medica?
411. Per prebiotici si intende:
412. Gli antidepressivi triciclici causano frequentemente:
413. Quale delle seguenti affermazioni è corretta?
414. Una ricetta magistrale ripetibile deve essere
415. Diuretici che nella loro struttura presentano il gruppo - SO2NH2 come acetazolamide e diclofenamide agiscono in quanto
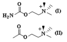
416. In farmaci agonisti del recettore muscarinico l’ossidrile della colina può essere esterificato da gruppi acilici diversi per dare i due composti del tipo (I) e (II) la cui azione farmacologica si differenzia

417. Quale delle seguenti vie di somministrazione può essere soggetta parzialmente al metabolismo epatico di primo passaggio?
418. Una formula per lattanti è erogabile a carico del SSN:
419. Quale, tra i farmaci antimicrobici seguenti, agisce sulla parete cellulare batterica?
420. Il metabolismo è una forma di eliminazione perché:

TuttoQUIZ.it, il portale dell'apprendimento online

© 2019 Tutti i diritti riservati

 

ASSODOLAB, Associazione Nazionale Docenti di Laboratorio
Ente accreditato e qualificato dal MIUR per la formazione del personale della Scuola - Direttiva 170 del 21/03/2016.
Via Cavour, 74 - 76015 TRINITAPOLI BT - Italy
Telefono 339.2661022 - P. IVA 03039870716

 

PRIVACY: Questo sito utilizza cookie per migliorare servizi ed esperienza dei lettori. MAGGIORI DETTAGLI

DICHIARAZIONE DI NON RESPONSABILITA': Il titolare del sito non si assume alcuna responsabilità per eventuali danni diretti o indiretti derivanti dall'uso delle informazioni presenti nel sito o non aggiornate. L'accesso e l'utilizzo del sito avvengono sotto la responsabilità dell'utente.Tutti i contenuti del sito sono usufruibili in maniera gratuita. Non viene mai richiesto dagli autori del sito di utilizzare carte di credito o altri strumenti di pagamento.