TuttoQUIZ.it

Il portale dell'apprendimento online.

Quiz Assegnazione di Sedi Farmaceutiche 2025

Suddivisione database ministeriale

GRUPPI DI QUESITI 511-540

511. A quale classe di farmaci viene riferito la sillaba “estr” nella Denominazione Comune?
512. Che cosa si intende per desensibilizzazione recettoriale?
513. Gli ACE-inibitori bloccano la conversione:
514. Quali sono le dosi di assunzione giornaliera di iodio raccomandate dai LARN (Livelli di Assunzione Raccomandati di Nutrienti) per le donne in gravidanza?
515. I medicinali sterili possono essere preparati in Farmacia?
516. A chi deve essere inviata dal farmacista la copia della richiesta di approvvigionamento di medicinali stupefacenti della Tab. dei medicinali Sez. A C e D a bordo di navi mercantili?
517. La vigilanza sugli Ordini dei Farmacisti spetta
518. Quale delle seguenti affermazioni sulla chinidina NON è corretta

519. In quali pazienti l’acetilcisteina va usata con precauzione?
520. Quale tra i seguenti soggetti possono esercitare il diritto di prelazione e assumere la titolarità di una farmacia?
521. Il Malathion è un insetticida organofosforico che:
522. Effetti neurovegetativi dei farmaci analoghi all’amfetamina sono
523. I diuretici aventi struttura del tipo di quella indicata sono caratterizzati dal gruppo funzionale solfammidico. Essi sono impiegati comunemente per la cura del glaucoma ad angolo aperto in quanto inibiscono

524. La paralisi muscolare indotta dai farmaci bloccanti la placca motrice è potenziata dalla cosomministrazione di:
525. A chi deve essere inviata dal farmacista la copia della richiesta di approvvigionamento di medicinali stupefacenti della Tab. dei medicinali Sez. A C e D nei cantieri di lavoro?
526. L’insulina glargine rispetto all’insulina umana presenta:
527. L'ingestione di semi di stramonio (Datura stramonium L.) induce una sindrome letale, soprattutto per i bambini, caratterizzata da:
528. Il foglietto illustrativo NON è presente
529. Su quale dei bersagli elencati agisce la spiramicina, avente la struttura indicata?

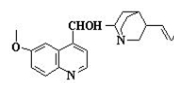
530. La fluoxetina, che ha la struttura sotto riportata, esplica azione antidepressiva. Quale delle affermazioni riportate è corretta?

531. Per quali di questi ingredienti impiegati negli integratori alimentari, il Ministero della Salute prevede l'obbligo di riportare in etichetta delle avvertenze specifiche:
532. In quale dei seguenti casi non è prevista la sostituzione temporanea del titolare della farmacia con altro farmacista?
533. I neurolettici possono indurre tutti i seguenti effetti, tranne:
534. Quale dei seguenti farmaci NON viene utilizzato per le micosi sistemiche?
535. La tossina botulinica
536. La sopravvivenza dei pazienti in scompenso cardiaco risulta statisticamente aumentata dal trattamento con
537. Indicare il valore di pH di una soluzione 0,01 M di acido cloridrico
538. Un intossicato per sovradosaggio di sostanza d’abuso presenta come sintomi: confusione mentale, stupore, miosi puntiforme, depressione respiratoria. Quale tra quelle elencate è la sostanza più probabilmente responsabile della sua condizione?
539. I farmaci possono essere somministrati attraverso molteplici vie. Quale di quelle sotto indicate presenta il così detto “metabolismo di primo passaggio” in % molto basse?
540. Il buono acquisto stupefacenti conforme al D.M. 18.12.2006 può essere utilizzato per:

TuttoQUIZ.it, il portale dell'apprendimento online

© 2019 Tutti i diritti riservati

 

ASSODOLAB, Associazione Nazionale Docenti di Laboratorio
Ente accreditato e qualificato dal MIUR per la formazione del personale della Scuola - Direttiva 170 del 21/03/2016.
Via Cavour, 74 - 76015 TRINITAPOLI BT - Italy
Telefono 339.2661022 - P. IVA 03039870716

 

PRIVACY: Questo sito utilizza cookie per migliorare servizi ed esperienza dei lettori. MAGGIORI DETTAGLI

DICHIARAZIONE DI NON RESPONSABILITA': Il titolare del sito non si assume alcuna responsabilità per eventuali danni diretti o indiretti derivanti dall'uso delle informazioni presenti nel sito o non aggiornate. L'accesso e l'utilizzo del sito avvengono sotto la responsabilità dell'utente.Tutti i contenuti del sito sono usufruibili in maniera gratuita. Non viene mai richiesto dagli autori del sito di utilizzare carte di credito o altri strumenti di pagamento.