TuttoQUIZ.it

Il portale dell'apprendimento online.

Quiz Assegnazione di Sedi Farmaceutiche 2025

Suddivisione database ministeriale

GRUPPI DI QUESITI 541-570

541. Quale tra le seguenti non è una sanzione disciplinare prevista dalla normativa vigente?
542. Quale dei principi attivi seguenti viene usato per arrestare la crescita dei tumori estrogeno-dipendenti in quanto ha la capacità di legarsi ai recettori degli estrogeni esplicando effetto antagonista?
543. Quali sono i prodotti oggetto di notifica nel sistema di allerta rapido “RASFF”?
544. Generalmente i soggetti parkinsoniani vanno incontro a forme depressive. L’associazione di un medicinale antidepressivo contenente fluoxetina con un’altro avente attività antiparkinson e contenente la selegilina (struttura indicata) NON è consigliabi

545. I diuretici inibitori dell'anidrasi carbonica sono impiegati comunemente per la cura e la prevenzione del mal di montagna acuto in quanto
546. In quale classe, tra quelle riportate, può essere catalogato l’acido acetilsalicilico
547. I FANS agiscono bloccando l’enzima
548. I farmaci che inibiscono il CYP3A4:
549. Le polveri per inalazione sono descritte in F.U. ?
550. L'itraconazolo è utilizzato nelle micosi superficiali e sistemiche. La sua azione consiste nella:
551. In riferimento a premiscele medicate e a prodotti intermedi quale delle seguenti affermazione non è corretta:
552. Ai sensi del regolamento (CE) n. 1223/2009, le sostanze contenute nell'allegato II
553. Qual è il limite di prescrizione per i medicinali stupefacenti della tabella dei medicinali sez. A per uso veterinario?
554. Il farmacista può rifiutarsi di dispensare medicinali soggetti a prescrizione in assenza di ricetta?
555. I diuretici inibitori dell'anidrasi carbonica aumentano l'escrezione urinaria di acido urico e cistina, aventi le strutture indicate, in quanto provocano

556. Sono tenuti alla registrazione presso il Ministero della Salute:
557. Quale parametro di una polvere è fondamentale misurare al fine del corretto riempimento di capsule di gelatina rigida?
558. Quali delle seguenti sostanze può avere effetti teratogeni:
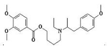
559. La mebeverina, avente la struttura indicata, viene utilizzata come

560. Gli antimetaboliti virali agiscono
561. Alcuni dei principali effetti collaterali della terapia sistemica con glucocorticoidi sono:
562. La lidocaina, avente la struttura indicata, può essere impiegata come:

563. I corticosteroidi esplicano la loro azione farmacologica:
564. Il gemfibrozil, avente la struttura indicata, è un farmaco

565. Il metabolismo può rendere un farmaco:
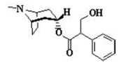
566. Il meccanismo d’azione dell’irinotecan prevede:
567. Quale, tra le coppie farmaco - enzima sotto elencate, rappresenta l’enzima ed il corrispondente inibitore?
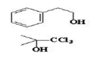
568. Il feniletanolo ed il clorobutanolo, aventi le strutture indicate, sono utilizzati come antibatterici nelle forme farmaceutiche. Quale delle affermazioni riportate è corretta

569. In quali delle seguenti forme farmaceutiche è disponibile l’aciclovir?
570. La l-iosciamina ha la struttura sotto indicata. Quale delle affermazioni riportate e riguardanti le sue proprietà rispetto a quelle dell’atropina è ERRATA?

TuttoQUIZ.it, il portale dell'apprendimento online

© 2019 Tutti i diritti riservati

 

ASSODOLAB, Associazione Nazionale Docenti di Laboratorio
Ente accreditato e qualificato dal MIUR per la formazione del personale della Scuola - Direttiva 170 del 21/03/2016.
Via Cavour, 74 - 76015 TRINITAPOLI BT - Italy
Telefono 339.2661022 - P. IVA 03039870716

 

PRIVACY: Questo sito utilizza cookie per migliorare servizi ed esperienza dei lettori. MAGGIORI DETTAGLI

DICHIARAZIONE DI NON RESPONSABILITA': Il titolare del sito non si assume alcuna responsabilità per eventuali danni diretti o indiretti derivanti dall'uso delle informazioni presenti nel sito o non aggiornate. L'accesso e l'utilizzo del sito avvengono sotto la responsabilità dell'utente.Tutti i contenuti del sito sono usufruibili in maniera gratuita. Non viene mai richiesto dagli autori del sito di utilizzare carte di credito o altri strumenti di pagamento.