TuttoQUIZ.it

Il portale dell'apprendimento online.

Quiz Assegnazione di Sedi Farmaceutiche 2025

Suddivisione database ministeriale

GRUPPI DI QUESITI 31-60

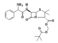
31. Il vantaggio della funzione di “doppio estere” presente nella bacampicillina rispetto alla funzione di “estere semplice” è rappresentato da

32. L’associazione levodopa-carbidopa viene usata per il trattamento
33. Quale delle seguenti sostanze non si utilizza come anticonvulsivante?
34. Nella descrizione dei principi attivi utilizzati per la terapia del morbo di Parkinson è riportata la selegilina. Quale delle seguenti affermazioni è corretta?
35. Un farmaco basico nella sua forma protonata ha un pKa = 6. Quando esso entra in una cellula dove il valore del pH è superiore rispetto a quello del fluido extracellulare, la concentrazione della forma ionizzata
36. A quale degli intervalli di pH sotto elencati, il rivestimento delle compresse costituito dal prodotto avente la struttura polimetacrilica riportata (con m = n) si solubilizza facilmente

37. Quale dei seguenti antagonisti dei canali del Ca2+ ha una azione più specifica sull’attività cardiaca
38. L’antagonismo farmacologico dei recettori H2 dell’istamina determina nelle cellule parietali della mucosa gastrica
39. Quale dei seguenti farmaci non è un antagonista dei recettori alfa adrenergici:

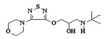
40. Il sotalolo, avente la struttura indicata, in quale delle seguenti patologie è controindicato

41. Un promotore chimico dell’assorbimento percutaneo dei farmaci, in una formulazione semisolida dovrebbe:
42. Nell’avvelenamento da farmaci ad azione curarica l’exitus è dovuto prevalentemente a:
43. Alcuni farmaci della classe degli oppiodi possono essere usati come antidiarroici in quanto:
44. Tutti i seguenti professionisti ed operatori sanitari possono, secondo la normativa vigente in materia di farmacovigilanza, compilare e trasmettere una scheda di segnalazione spontanea di reazione avversa tranne uno, indicare quale:
45. L’ Isoniazide presenta attività:
46. Che cosa deve obbligatoriamente annotare il farmacista in calce alle ricette in triplice copia a ricalco per stupefacenti?
47. Un dispositivo per test autodiagnostico è:
48. L’aceticolina è un importante neurotrasmettitore e interagisce con i recettori muscarinici M1-5. Delle indicazioni seguenti quale risulta corretta:
49. I lattami sono
50. La terbinafina, una allil-ammina, è un farmaco usato come
51. Molti composti aventi la struttura benzodiazepinica indicata si comportano da ansiolitici in quanto

52. Il farmacista è tenuto ad annotare, sull’etichetta che appone sui recipienti dei medicinali galenici allestiti in farmacia, la data di preparazione?
53. Alcuni farmaci possono indurre miopatia: indicare quali tra quelli elencati
54. Le ispezioni in farmacia per verificare la regolare tenuta della documentazione relativa alla vendita di medicinali veterinari sono effettuate
55. I principali farmaci induttori degli enzimi epatici di biotrasformazione sono:
56. L’applicazione topica oculare di timololo può essere utilizzata per indurre

57. Le associazioni anticoncezionali sono costituite da:
58. In una compressa, quale dei seguenti eccipienti conferisce la proprietà della gastroresistenza?
59. In un cosmetico destinato ai bambini di età inferiore ai tre anni è permesso l'impiego di talco?
60. La DE50 di un determinato farmaco è riportata essere pari a 2 micromolare. A quale delle concentrazioni molari sotto elencate si avvicina maggiormente la concentrazione indicata

TuttoQUIZ.it, il portale dell'apprendimento online

© 2019 Tutti i diritti riservati

 

ASSODOLAB, Associazione Nazionale Docenti di Laboratorio
Ente accreditato e qualificato dal MIUR per la formazione del personale della Scuola - Direttiva 170 del 21/03/2016.
Via Cavour, 74 - 76015 TRINITAPOLI BT - Italy
Telefono 339.2661022 - P. IVA 03039870716

 

PRIVACY: Questo sito utilizza cookie per migliorare servizi ed esperienza dei lettori. MAGGIORI DETTAGLI

DICHIARAZIONE DI NON RESPONSABILITA': Il titolare del sito non si assume alcuna responsabilità per eventuali danni diretti o indiretti derivanti dall'uso delle informazioni presenti nel sito o non aggiornate. L'accesso e l'utilizzo del sito avvengono sotto la responsabilità dell'utente.Tutti i contenuti del sito sono usufruibili in maniera gratuita. Non viene mai richiesto dagli autori del sito di utilizzare carte di credito o altri strumenti di pagamento.