TuttoQUIZ.it

Il portale dell'apprendimento online.

Quiz Assegnazione di Sedi Farmaceutiche 2025

Suddivisione database ministeriale

GRUPPI DI QUESITI 571-600

571. Quale, tra le seguenti tecniche di preparazione di liposomi, risulta particolarmente vantaggiosa per la riproducibilità e scale up industriale?
572. I recettori muscarinici sono
573. A quale delle miscele sotto indicate si avvicina maggiormente la composizione di una soluzione idroalcoolica al 30% v/v?
574. La clonidina diminuisce la liberazione di noradrenalina dai terminali adrenergici:
575. Tenendo presente l’azione farmacologica e quindi la principale utilizzazione terapeutica indicare,tra quelli sotto riportati, i presidi sanitari nei quali razionalmente la presenza di “sodio cloruro soluzione ipertonica” per uso parenterale è present
576. Le compresse gastroresistenti sono compresse a rilascio:
577. Un principio attivo contenuto in un medicinale di origine industriale in commercio esclusivamente in Canada può essere impiegato in una preparazione galenica?
578. La preparazione di saccarosio sciroppo (sciroppo semplice) è riportata nella F.U.:
579. Quale delle seguenti sostanze viene impiegata come rivestimento gastrosolubile di compresse:
580. Gli isomeri configurazionali di tipo “geometrico”
581. L’omeprazolo, utilizzato come antiulcera, agisce con un meccanismo che
582. Il termine Efficienza % di incapsulazione identifica:
583. Tutte le seguenti sono reazioni avverse aspecifiche tranne una, indicare quale:
584. La ciproeptadina, avente la formula indicata,

585. Il rilascio di un farmaco da una matrice porosa, non rigonfiabile e non biodegradabile, in un mezzo acquoso esterno ad essa, avviene:
586. Le strutture indicate rappresentano composti utilizzabili come additivi in tecnica farmaceutica. Quale degli accoppiamenti (struttura - caratteristiche) sotto riportati è corretto

587. Gli Ordini dei Farmacisti hanno carattere:
588. L’acetilcisteina contiene i tre gruppi funzionali aventi la struttura sotto indicata. Quale, tra i gruppi funzionali indicati, è il responsabile dell’attività mucolitica del principio attivo? Il gruppo

589. Quale dei seguenti antitumorali agisce nel primissimo stadio del processo di sintesi degli acidi nucleici ?
590. La porzione strutturale di molecola più direttamente responsabile dei processi farmacodinamici correlati al meccanismo d’azione degli antibiotici beta-lattamici è rappresentata
591. Nel trattamento delle infezioni da Helicobacter pylori si usa l’associazione
592. L’isoprenalina, avente la struttura indicata, rilascia la muscolatura liscia bronchiale in quanto:

593. Gli acidi grassi essenziali omega-3 hanno effetti:
594. L'uso della pillola contraccettiva di quale dei farmaci elencati prolunga la durata di azione in caso di uso simultaneo?
595. Le sostanze ad azione psichedelica sono sostanze d’abuso. Ad esse NON appartiene

596. Un farmaco che stimola i recettori beta1 e beta2 adrenergici può causare:
597. Quale delle seguenti attività meglio descrive il meccanismo d’azione delle benzodiazepine?
598. Spironolattone e canrenone sono diuretici K+risparmiatori. La loro azione diuretica ed efficacia clinica dipende da
599. Qual è l’impiego del carbonato di litio in terapia?
600. L'impiego di poliacrilati riguarda la tecnica di

TuttoQUIZ.it, il portale dell'apprendimento online

© 2019 Tutti i diritti riservati

 

ASSODOLAB, Associazione Nazionale Docenti di Laboratorio
Ente accreditato e qualificato dal MIUR per la formazione del personale della Scuola - Direttiva 170 del 21/03/2016.
Via Cavour, 74 - 76015 TRINITAPOLI BT - Italy
Telefono 339.2661022 - P. IVA 03039870716

 

PRIVACY: Questo sito utilizza cookie per migliorare servizi ed esperienza dei lettori. MAGGIORI DETTAGLI

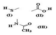
DICHIARAZIONE DI NON RESPONSABILITA': Il titolare del sito non si assume alcuna responsabilità per eventuali danni diretti o indiretti derivanti dall'uso delle informazioni presenti nel sito o non aggiornate. L'accesso e l'utilizzo del sito avvengono sotto la responsabilità dell'utente.Tutti i contenuti del sito sono usufruibili in maniera gratuita. Non viene mai richiesto dagli autori del sito di utilizzare carte di credito o altri strumenti di pagamento.