TuttoQUIZ.it

Il portale dell'apprendimento online.

Quiz Assegnazione di Sedi Farmaceutiche 2025

Suddivisione database ministeriale

GRUPPI DI QUESITI 601-630

601. La vancomicina è usata in caso di
602. Quale dei seguenti organi o sistemi rappresenta un bersaglio della tossicità delle diossine:
603. Tra gli eccipienti per preparati farmaceutici da preparare come polveri, il biossido di silicio colloidale è utilizzato come
604. Le figure 1 e 2 rappresentano l’andamento delle curve dose-effetto di un farmaco. Esse differiscono in quanto

605. Zanamivir si somministra per via:
606. Quale dei seguenti strumenti NON è utilizzabile per determinare le dimensioni delle particelle di un campione di polvere:
607. Il saggio di uniformità di contenuto delle forme farmaceutiche a dose unica si basa sulla determinazione:
608. I farmaci ACE-inibitori regolarizzano la pressione arteriosa da soli o in associazione con altri farmaci antipertensivi nella grande maggioranza di pazienti affetti da ipertensione arteriosa di media intensità. E' condivisa l'opinione che gli ACE-ini
609. La digossina, se somministrata a pazienti con funzionalità renale nei limiti della norma, ha un tempo di dimezzamento (t1/2) di circa
610. Possono essere venduti al pubblico medicinali per i quali l’autorizzazione all’immissione in commercio sia stata revocata?
611. Il coefficiente di ripartizione n-ottanolo/acqua è un descrittore che, per la molecola in studio, caratterizza della molecola le proprietà
612. Indicare quale delle seguenti potenziali sostanze d'abuso è classificabile tra gli antipsicotici a struttura fenilisopropilamminica

613. Il prelievo dei medicinali in regime di dispensazione convenzionata con il SSN da parte degli assistiti nel caso di ricetta dematerializzata:
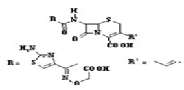
614. Su quale dei bersagli elencati agisce la cefixima, avente la struttura indicata?

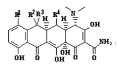
615. Quale tipo di interazione determina la riduzione dei livelli ematici di tetracicline, aventi la struttura generale indicata, in seguito a contemporanea assunzione dell’antibiotico e di alimenti ricchi di calcio?

616. L’azione profilattica dei beta-antagonisti nell’angina pectoris consegue a
617. In quale caso è obbligatorio conservare l’originale della richiesta di approvvigionamento ex art. 42 DPR 309/90?
618. La sostanza attiva Tazobactam esplica la sua azione
619. Si devono preparare 300 ml di una soluzione di HCl 0,2 M disponendo di HCl 6 M. Entro quale intervallo ricade la quantità di HCl 6 M da prelevare?
620. Il PHT (prontuario Ospedale Territorio) è:
621. Quale fra le seguenti non è una funzione attribuita dalla legge all’Ordine dei farmacisti?
622. Sumatriptan e zolmitriptan, agonisti dei recettori serotoninergici, vengono impiegati clinicamente in una delle seguenti patologie:
623. Per anticorpo monoclonale umanizzato si intende una immunoglobulina
624. I curari sono
625. Le cicloossigenasi sono:
626. Nella terapia antipertensiva vengono usati
627. Indicare quale dei seguenti composti NON interagisce con i recettori GABA-A:
628. La digitale aumenta la forza di contrazione cardiaca. Quale dei seguenti meccanismi è associato a tale effetto?
629. I limiti di accettabilità per le aflatossine nelle droghe vegetali sono richiesti dalla F.U.:
630. Quale delle seguenti affermazioni sul nitrito di isoamile NON è corretta

TuttoQUIZ.it, il portale dell'apprendimento online

© 2019 Tutti i diritti riservati

 

ASSODOLAB, Associazione Nazionale Docenti di Laboratorio
Ente accreditato e qualificato dal MIUR per la formazione del personale della Scuola - Direttiva 170 del 21/03/2016.
Via Cavour, 74 - 76015 TRINITAPOLI BT - Italy
Telefono 339.2661022 - P. IVA 03039870716

 

PRIVACY: Questo sito utilizza cookie per migliorare servizi ed esperienza dei lettori. MAGGIORI DETTAGLI

DICHIARAZIONE DI NON RESPONSABILITA': Il titolare del sito non si assume alcuna responsabilità per eventuali danni diretti o indiretti derivanti dall'uso delle informazioni presenti nel sito o non aggiornate. L'accesso e l'utilizzo del sito avvengono sotto la responsabilità dell'utente.Tutti i contenuti del sito sono usufruibili in maniera gratuita. Non viene mai richiesto dagli autori del sito di utilizzare carte di credito o altri strumenti di pagamento.