TuttoQUIZ.it

Il portale dell'apprendimento online.

Quiz Assegnazione di Sedi Farmaceutiche 2025

Suddivisione database ministeriale

GRUPPI DI QUESITI 631-660

631. La ticlopidina agisce come antiaggregante piastrinico:
632. I composti sotto elencati hanno la DL50 (mg/Kg) indicata. Quale composto presenta la tossicità minore?
633. La interazione di un farmaco con il suo recettore forma un complesso farmaco-recettore. Tale interazione è all’equilibrio quando si è
634. A quali macromolecole circolanti si legano prevalentemente i farmaci:
635. l farmacista è tenuto ad inviare una delle copie della richiesta di approvvigionamento di stupefacenti della Tabella dei medicinali Sez. A B e C presentata da medici o direttori sanitari di ospedali o case di cura sprovvisti di farmacia interna
636. Il linezolid esercita azione:
637. Se la biotrasformazione di un farmaco viene inibita, quale dei parametri farmacocinetici elencati viene prevalentemente modificato:
638. Quale dei seguenti farmaci è agonista diretto dei recettori muscarinici?
639. Molti barbiturici si differenziano per la natura dei gruppi sostituenti sul carbonio 5. Da cosa NON possono essere costituiti i due sostituenti R1 ed R2 del carbonio 5?

640. Quale farmaco, tra quelli riportati, è più indicato nella terapia della sindrome ossessivo-compulsiva? Un
641. Non sono erogabili a carico del SSN i prodotti dietetici destinati a soggetti affetti da:
642. Il termine “mesilato” si riferisce ad un controione di basi poco solubili; tale termine è sinonimo di
643. Il rapporto tra servizio sanitario nazionale e le farmacie pubbliche e private è disciplinato da accordi a livello
644. Da quale precursore deriva il GABA avente la struttura indicata

645. Il pancuronio bromuro, avente la struttura indicata, è un bloccante neuromuscolare in quanto

646. Gli enzimi di fase I responsabili della biotrasformazione di un farmaco catalizzano reazioni di:
647. Quale particolare “modello” di registro deve essere adottato dal farmacista per i movimenti di entrata e uscita degli stupefacenti della tabella dei medicinali sezione A, B e C?
648. I farmaci orfani sono:
649. Quale dei seguenti effetti costituisce l’azione terapeutica più importante dei farmaci antagonisti istaminici H2?
650. Quale tra i seguent farmaci si usa come anti-asmatico e agisce antagonizzando i recettori leucotrienici?
651. E’ consentito al farmacista esporre in farmacia avvisi relativi a studi privati di medici, odontoiatri o di altri sanitari?
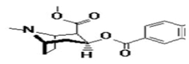
652. La cocaina interferisce sulla trasmissione noradrenergica in quanto

653. La fenitoina sale di sodio è il composto rappresentato dalla struttura indicata. La sua attività farmacologica è

654. Le autorizzazioni alla pubblicità dei dispositivi medici hanno validità di:
655. Quale, tra gli enzimi seguenti, NON partecipa alla formazione dei neurotrasmettitori adrenergici nell’organismo?
656. Quale dei seguenti è un ormone prodotto dalla neuroipofisi?
657. La d-tubocurarina compete con l’acetilcolina per il sottotipo N2 di recettore nicotinico della placca neuromuscolare determinando:
658. L'Autorizzazione all’Immissione in Commercio (AIC) di un medicinale nella procedura centralizzata è rilasciata da:
659. Il tipo di reazione a farmaci provocata dalla penicillina è:
660. Quali medicinali iniettabili possono essere consegnati dal farmacista senza presentazione di ricetta medica,, in quantità superiore ad una sola confezione, per la necessità di non interrompere il trattamento terapeutico, se ricorrono le condizioni pr

TuttoQUIZ.it, il portale dell'apprendimento online

© 2019 Tutti i diritti riservati

 

ASSODOLAB, Associazione Nazionale Docenti di Laboratorio
Ente accreditato e qualificato dal MIUR per la formazione del personale della Scuola - Direttiva 170 del 21/03/2016.
Via Cavour, 74 - 76015 TRINITAPOLI BT - Italy
Telefono 339.2661022 - P. IVA 03039870716

 

PRIVACY: Questo sito utilizza cookie per migliorare servizi ed esperienza dei lettori. MAGGIORI DETTAGLI

DICHIARAZIONE DI NON RESPONSABILITA': Il titolare del sito non si assume alcuna responsabilità per eventuali danni diretti o indiretti derivanti dall'uso delle informazioni presenti nel sito o non aggiornate. L'accesso e l'utilizzo del sito avvengono sotto la responsabilità dell'utente.Tutti i contenuti del sito sono usufruibili in maniera gratuita. Non viene mai richiesto dagli autori del sito di utilizzare carte di credito o altri strumenti di pagamento.