TuttoQUIZ.it

Il portale dell'apprendimento online.

Quiz Assegnazione di Sedi Farmaceutiche 2025

Suddivisione database ministeriale

GRUPPI DI QUESITI 661-690

661. Quale tra le seguenti competenze NON rientra tra quelle riservate alla professione del farmacista?
662. Come deve compiersi la chiusura giornaliera del registro entrata e uscita stupefacenti?
663. Il polimorfismo è un fenomeno per cui una sostanza
664. La paralisi flaccida causata dalla tossina botulinica è dovuta a:
665. Quale delle sostanze sotto indicate ha una attività antimicrobica dovuta alla sua azione tensioattiva
666. Indicare per quale, tra i seguenti sistemi enzimatici, è più noto il fenomeno del polimorfismo genetico:
667. I farmaci anti-diabetici appartneneti alla categoria delle Gliflozine sono stati associati con aumentato rischio di:
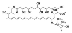
668. Gli antibiotici polienici (quali nistatina ed amfotericina) aventi struttura del tipo di quella indicata agiscono

669. La dematerializzazione della prescrizione veterinaria riguarda i medicinali contenenti sostanze stupefacenti e psicotrope inclusi:
670. Quale antidoto è più indicato nell'avvelenamento da muscarina?
671. Un antagonismo farmacologico recettoriale non competitivo è caratterizzato da:
672. Quale delle affermazioni seguenti riguardanti la mesalazina, avente la struttura indicata, è ERRATA?

673. I barbiturici agiscono:
674. Contro l’emofilia si usa:
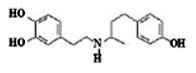
675. Gli effetti cardiaci diretti della dobutamina, avente la struttura indicata, potrebbero essere bloccati da:

676. In riferimento alla monografia generale della Farmacopea Sostanze per uso farmaceutico (2034) quale indicazione risulta corretta
677. Il glucosio viene assorbito per:
678. Le “co-beta-lattamine” sono
679. Di quante pagine deve essere composto il registro entrata e uscita stupefacenti delle farmacie?
680. Quale dei farmaci elencati può provocare allucinazioni
681. La tossicità cronica di fenacetina (I), paracetamolo (II) ed acetanilide (III) è dovuta alla

682. Bevacizumab è utilizzato come:
683. La pravastatina sale di sodio è:

684. A quale classe di farmaci viene riferito il suffisso “ololo” nella Denominazione Comune?
685. I messaggeri chimici si formano da sostanze che vengono immesse nell’organismo con la dieta. Da quale aminoacido precursore derivano importanti neurotrasmettitori tra i quali la noradrenalina?
686. La farmacia può prestare servizio in orari e periodi aggiuntivi rispetto a quelli obbligatori?
687. In riferimento a un batterio ricombinante quale indicazione risulta corretta
688. I medicinali contenenti stupefacenti e spedibili con RR sono soggetti al
689. L'amiloride si differenzia dagli altri diuretici K+risparmiatori per il suo meccanismo d'azione che consiste nell'inibire
690. I cosmetici possono garantire la protezione totale dai raggi UV?

TuttoQUIZ.it, il portale dell'apprendimento online

© 2019 Tutti i diritti riservati

 

ASSODOLAB, Associazione Nazionale Docenti di Laboratorio
Ente accreditato e qualificato dal MIUR per la formazione del personale della Scuola - Direttiva 170 del 21/03/2016.
Via Cavour, 74 - 76015 TRINITAPOLI BT - Italy
Telefono 339.2661022 - P. IVA 03039870716

 

PRIVACY: Questo sito utilizza cookie per migliorare servizi ed esperienza dei lettori. MAGGIORI DETTAGLI

DICHIARAZIONE DI NON RESPONSABILITA': Il titolare del sito non si assume alcuna responsabilità per eventuali danni diretti o indiretti derivanti dall'uso delle informazioni presenti nel sito o non aggiornate. L'accesso e l'utilizzo del sito avvengono sotto la responsabilità dell'utente.Tutti i contenuti del sito sono usufruibili in maniera gratuita. Non viene mai richiesto dagli autori del sito di utilizzare carte di credito o altri strumenti di pagamento.