TuttoQUIZ.it

Il portale dell'apprendimento online.

Quiz Assegnazione di Sedi Farmaceutiche 2025

Suddivisione database ministeriale

GRUPPI DI QUESITI 691-720

691. Il rischio di emorragia in pazienti trattati con eparina è aumentato dall'aspirina perché essa:
692. Semaglutide è un anti-diabetico che agisce:
693. L’Imatinib è un farmaco usato nella terapia:
694. La Farmacopea Italiana e l’art. 14 del D.P.R. 309/90 riportano alcune Tabelle correlate agli adempimenti professionali del farmacista. Quale delle seguenti affermazioni è esatta
695. Il fenobarbitale interferisce con molti farmaci. In particolare diminuisce i livelli plasmatici di:
696. Quante sono le tabelle della Farmacopea Ufficiale?
697. Un farmacista che abbia ceduto le proprie quote di una società per la gestione di una farmacia privata può partecipare ad un concorso per l’assegnazione di sedi farmaceutiche:
698. Quala fra questi è un farmaco anti-tiroideo:
699. L’associazione di nitrati organici e farmaci betaantagonisti è utile nell’angina pectoris in quanto i
700. I derivati della 8-idrossichinolina quali quello riportato in figura appartengono alla classe dei farmaci

701. In caso di shock anafilattico quale dei seguenti è un farmaco salvavita?
702. Latanoprost viene utilizzato nella terapia di:
703. Il farmacista è tenuto ad indicare la data entro la quale deve essere impiegato il preparato magistrale allestito in farmacia?
704. Quale dei prodotti sotto elencati Può essere impiegato come agente correttore di acidità nella preparazione delle forme farmaceutiche liquide che devono presentare valori di pH analoghi a quelli dei liquidi biologici
705. La Mesalazina (o Acido 5-Amino salicilico o 5-ASA) è un farmaco usato nella terapia:
706. Una siringa preriempita con soluzione di NaCl 0,9% destinata dal fabbricante al lavaggio di dispositivi medici come ad esempio i cateteri è:
707. Quale de seguenti anti-virali viene usato nel trattamento dell’Herpes labialis:
708. Il Destrometorfano è:
709. Le strutture indicate rappresentano composti utilizzabili come additivi in tecnica farmaceutica. Quale degli accoppiamenti (struttura - caratteristiche) sotto riportati è corretto

710. Il metadone, un farmaco largamente utilizzato nella terapia di recupero dei tossicodipendenti, ha la struttura indicata. A quale, dei composti sotto indicati, il metadone risulta più simile dal punto di vista strutturale?

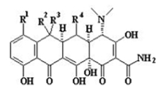
711. Le tetracicline NON sono consigliabili ai soggetti:

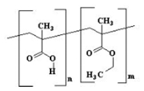
712. Per quale motivo il rivestimento delle compresse costituito dal prodotto avente la struttura riportata e che prende il nome di Eudragit L100 si solubilizza facilmente a livello intestinale? In quanto l’eccipiente

713. L’etinilestradiolo differisce dall'estradiolo per:
714. Ai sensi del Regolamento (CE) n. 1223/2009 e del DM Salute del 27 settembre 2018 chiunque intenda produrre o confezionare in proprio prodotti cosmetici:
715. Quale tra i farmaci elencati può indurre vomito?
716. Qual è lo steroide la cui sintesi viene inibita da molti farmaci antifungini?
717. Il farmacista è tenuto ad annotare sull’etichetta di preparazioni galeniche allestite in farmacia, se l'impiego del medicinale è per “uso esterno”?
718. Il principio attivo aripiprazolo può essere classificato come:
719. Finasteride è:
720. La F.U. definisce un contenitore ermeticamente chiuso quando:

TuttoQUIZ.it, il portale dell'apprendimento online

© 2019 Tutti i diritti riservati

 

ASSODOLAB, Associazione Nazionale Docenti di Laboratorio
Ente accreditato e qualificato dal MIUR per la formazione del personale della Scuola - Direttiva 170 del 21/03/2016.
Via Cavour, 74 - 76015 TRINITAPOLI BT - Italy
Telefono 339.2661022 - P. IVA 03039870716

 

PRIVACY: Questo sito utilizza cookie per migliorare servizi ed esperienza dei lettori. MAGGIORI DETTAGLI

DICHIARAZIONE DI NON RESPONSABILITA': Il titolare del sito non si assume alcuna responsabilità per eventuali danni diretti o indiretti derivanti dall'uso delle informazioni presenti nel sito o non aggiornate. L'accesso e l'utilizzo del sito avvengono sotto la responsabilità dell'utente.Tutti i contenuti del sito sono usufruibili in maniera gratuita. Non viene mai richiesto dagli autori del sito di utilizzare carte di credito o altri strumenti di pagamento.