TuttoQUIZ.it

Il portale dell'apprendimento online.

Quiz Assegnazione di Sedi Farmaceutiche 2025

Suddivisione database ministeriale

GRUPPI DI QUESITI 751-780

751. Il corretto dosaggio pediatrico viene effettuato:
752. In quali punti vendita può essere fatta la commercializzazione dei prodotti cosmetici che vantano in etichetta proprietà terapeutiche?
753. Quale delle affermazioni seguenti riguardanti il glucagone è errata
754. Chi autorizza le farmacie all’acquisto di sostanze stupefacenti?
755. Quale tra quelle elencate è un’indicazione d’uso della nafazolina?
756. Quale delle affermazioni sotto riportate e riguardanti il principio attivo che va sotto il nome di algeldrato è corretta?
757. Quali effetti collaterali può provocare l’uso di nitrati organici?
758. Relativamente al picosolfato di sodio, quale delle affermazioni riportate è corretta?
759. Da quale ente viene rilasciata la qualifica di farmaco orfano?
760. Secondo il Regolamento (UE) 2025/2283 una sostanza o un prodotto vanno considerati come “novel food” quando:
761. L’Amoxicillina è:
762. L’azione dell’amiodarone sulle correnti ioniche della miocellula ventricolare ha come conseguenza
763. L’utilizzazione terapeutica di un principio attivo presuppone in molti casi la presenza di eccipienti necessari per preparare la forma farmaceutica opportuna. Quale, tra le indicazioni seguenti è corretta per il sodio edetato? E'
764. Quante copie sono previste per buono-acquisto stupefacenti conforme al modello approvato con D.M. 18.12.2006?
765. Nella preparazione delle supposte, i polietilenglicoli sono impiegati come
766. Le benzodiazepine provocano:
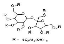
767. Le strutture indicate rappresentano composti utilizzabili come additivi in tecnica farmaceutica. Quale degli accoppiamenti (struttura - caratteristiche) sotto riportati è corretto?

768. Su quale dei bersagli elencati agisce il trimetoprim?
769. Le proteine terapeutiche svolgono la loro azione grazie a:
770. Quale delle seguenti affermazioni è corretta riguardo alla gestione dei medicinali a base di costituenti del sangue (emoderivati) in farmacia?
771. La forma farmaceutica "sospensione" presenta alcuni vantaggi rispetto ad altre forme di somministrazione. Quale affermazione è errata?
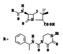
772. Su quale dei bersagli elencati agisce la piperacillina, avente la struttura indicata?

773. Quale dei seguenti rappresenta un effetto avverso dell’isotretinoina:
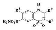
774. Il sucralfato ha la struttura sotto indicata. Quale delle affermazioni sotto riportate è errata?

775. Quale delle seguenti affermazioni è errata?
776. Nel caso di movimento in uscita, devono essere indicati nel registro entrata e uscita stupefacenti gli estremi del buono-acquisto ricevuto dal farmacista?
777. Cosa deve obbligatoriamente fare il farmacista in caso di smarrimento o sottrazione del registro di carico e scarico degli stupefacenti?
778. Cosa si intende per polimorfismo genetico di un enzima metabolizzante?
779. I diuretici tiazidici inibiscono il simporto di Na+, Cl-. La sede primaria di questa azione sul nefrone è localizzata nel:

780. L’incorporazione meccanica di un principio attivo in una crema idrofila è possibile:

TuttoQUIZ.it, il portale dell'apprendimento online

© 2019 Tutti i diritti riservati

 

ASSODOLAB, Associazione Nazionale Docenti di Laboratorio
Ente accreditato e qualificato dal MIUR per la formazione del personale della Scuola - Direttiva 170 del 21/03/2016.
Via Cavour, 74 - 76015 TRINITAPOLI BT - Italy
Telefono 339.2661022 - P. IVA 03039870716

 

PRIVACY: Questo sito utilizza cookie per migliorare servizi ed esperienza dei lettori. MAGGIORI DETTAGLI

DICHIARAZIONE DI NON RESPONSABILITA': Il titolare del sito non si assume alcuna responsabilità per eventuali danni diretti o indiretti derivanti dall'uso delle informazioni presenti nel sito o non aggiornate. L'accesso e l'utilizzo del sito avvengono sotto la responsabilità dell'utente.Tutti i contenuti del sito sono usufruibili in maniera gratuita. Non viene mai richiesto dagli autori del sito di utilizzare carte di credito o altri strumenti di pagamento.