TuttoQUIZ.it

Il portale dell'apprendimento online.

Quiz Assegnazione di Sedi Farmaceutiche 2025

Suddivisione database ministeriale

GRUPPI DI QUESITI 811-840

811. Delle tre strutture generali indicate, quale può essere utilizzata come antistaminico H1?

812. Due farmaci che possono essere considerati “isosteri classici” sono quelli in cui un atomo della molecola del primo è stato sostituito nel secondo con un atomo
813. Le azioni degli agonisti dei recettori colinergici comprendono:
814. I sulfamidici agiscono
815. La “pillola dei 5 giorni dopo” è a base di:
816. Oltre agli ACE-inibitori, quale altra classe di farmaci anti-ipertensivi agisce sul sistema renina-angiotensinaaldosterone (RAAS)?
817. I valori in mg/100 ml del glucosio nel sangue variano al variare dei soggetti e dell’età. Quale, tra gli intervalli sotto indicati, si avvicina maggiormente al valore medio degli adulti sani se il prelievo è stato eseguito su un soggetto digiuno da a
818. Le ispezioni ordinarie biennali nelle farmacie sono effettuate da
819. La nefelometria misura la luce:
820. Quale dei seguenti principi attivi NON appartiene alla classe delle sulfoniluree ipoglicemizzanti?

821. Il metilfenidato è impiegato nel trattamento della:

822. L’acido acetilsalicilico, interagendo con l’albumina plasmatica, acila il gruppo -NH2 di alcuni residui di lisina e quindi sfavorisce il legame di altri farmaci alle proteine plasmatiche. Esistono medicinali in forma iniettabile che contengono acetil
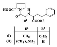
823. Indicare quale delle affermazioni seguenti è corretta riguardo ai principi attivi enalapril (I) e lisinopril (II)?

824. Qual è la percentuale consigliata di idrossietilcellulosa per ottenere un gel acquoso, non versabile, cioè fermo?
825. Quale tra i seguenti farmaci non viene utilizzato nella terapia delle infezioni urinarie:
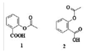
826. Quale delle correlazioni indicate e riguardanti le strutture 1 e 2 è corretta?

827. La somministrazione di farmaci retinoidi e vitamina A può causare:
828. Tra le sostanze riportate quale è corretto definire legante?
829. La neostigmina antagonizza la paralisi muscolare provocata da tutti i farmaci elencati ad eccezione di quella data da:

830. Con quale delle tecniche seguenti si può realizzare un medicinale a “rilascio prolungato” ? Aggiungendo al principio attivo una sostanza che
831. Orlistat è un farmaco usato nella terapia:
832. Quale dei seguenti farmaci ha azione antiemetica:
833. Quale tra le proprietà sotto riportate è sicuramente identica per le sostanze polimorfe
834. La stimolazione di quale dei seguenti recettori a livello del sistema nervoso centrale porta ad una riduzione della pressione arteriosa media?
835. La vendita da parte di un erborista, in erboristeria, di preparazioni e/o prodotti contenenti piante o loro parti, anche in miscela, con etichette che attribuiscono agli stessi effetti terapeutici:
836. La specialità medicinale “A” contiene magaldrato. Essa si differenzia dalla specialità medicinale “B”, contenente algeldrato, in quanto
837. La levodopa presenta attività antiparkinson in quanto:

838. Goserelin è un analogo del GnRH ( GonadotropinReleasing Hormon ) provvisto di attività :
839. In alcuni anestetici generali per inalazione sono presenti caratteristiche chimiche e/o chimico-fisiche che li accomunano. Quale, tra quelle sotto elencate, può rappresentare più verosimilmente una di queste caratteristiche comuni
840. Lo spironolattone è:

TuttoQUIZ.it, il portale dell'apprendimento online

© 2019 Tutti i diritti riservati

 

ASSODOLAB, Associazione Nazionale Docenti di Laboratorio
Ente accreditato e qualificato dal MIUR per la formazione del personale della Scuola - Direttiva 170 del 21/03/2016.
Via Cavour, 74 - 76015 TRINITAPOLI BT - Italy
Telefono 339.2661022 - P. IVA 03039870716

 

PRIVACY: Questo sito utilizza cookie per migliorare servizi ed esperienza dei lettori. MAGGIORI DETTAGLI

DICHIARAZIONE DI NON RESPONSABILITA': Il titolare del sito non si assume alcuna responsabilità per eventuali danni diretti o indiretti derivanti dall'uso delle informazioni presenti nel sito o non aggiornate. L'accesso e l'utilizzo del sito avvengono sotto la responsabilità dell'utente.Tutti i contenuti del sito sono usufruibili in maniera gratuita. Non viene mai richiesto dagli autori del sito di utilizzare carte di credito o altri strumenti di pagamento.