TuttoQUIZ.it

Il portale dell'apprendimento online.

Quiz Assegnazione di Sedi Farmaceutiche 2025

Suddivisione database ministeriale

GRUPPI DI QUESITI 841-870

841. Il broncodilatatore beta-mimetico salmeterolo si differenzia dal salbutamolo in quanto:

842. Gli integratori alimentari sono definiti:
843. L’Acido acetilsalicilico, avente la struttura indicata, utilizzata come farmaco antipiastrinico ha come effetto principale

844. Quale delle seguenti classi di antibatterici NON è raccomandata nei bambini:
845. L’omessa detenzione in farmacia degli apparecchi e utensili previsti dalla tabella n.6 della F.U.
846. A quale classe di farmaci appartiene la feniramina?
847. Quale, tra gli enzimi seguenti, partecipa alla formazione dell’istamina nell’organismo?
848. In quale delle seguenti situazioni è CONTROINDICATA l'atropina?
849. Quale dei farmaci elencati è attivo in pazienti che presentano contemporaneamente assenze e crisi tonico-cloniche generalizzate?
850. Il farmaco liraglutide è indicato per:
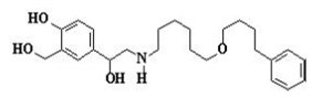
851. L’introduzione di gruppi alchilici ingombranti sull’azoto della noradrenalina potenzia
852. Qual è l’impiego terapeutico della ciclofosfamide?

853. L’edetato disodico calcico viene prevalentemente impiegato nel trattamento dell’avvelenamento da:
854. L’etichetta o la confezione di un prodotto cosmetico deve contenere:
855. La displasia dello smalto dentario può verificarsi in neonati da madri che hanno assunto in gravidanza:
856. In quale delle metodiche elencate può essere classificata la determinazione della cloramina T mediante sodio tiosolfato come riportato in F.U.
857. E’ dovuta dal vincitore di concorso della farmacia l’indennità di avviamento nei confronti del precedente gestore provvisorio?
858. La clonidina è un antipertensivo che
859. La pubblicità a mezzo stampa o in qualsiasi altro modo concernente mezzi per la prevenzione e la cura delle malattie, medicinali, presidi medico-chirurgici:
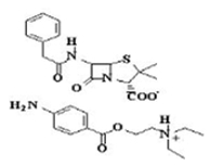
860. La penicillina G procainica (struttura indicata) è caratterizzata da

861. Modificando opportunamente la struttura della feniletilammina si può raggiungere una maggiore selettività nei confronti del recettore adrenergico beta. Quale delle seguenti affermazioni è corretta:

862. Per quale motivo nella Tabella n.3 della F.U. NON è iscritta la stricnina?
863. L’effetto metabolico di “primo passaggio” si esplica principalmente
864. Nella terapia della schizofrenia si usano:
865. Per quanto tempo deve essere conservato in farmacia il registro di carico e scarico degli stupefacenti ?
866. Il dantrolene ha azione miorilassante in quanto:

867. Quali medicinali sono sottoposti a farmacovigilanza?
868. Quale delle seguenti affermazioni è vera per i glicosidi cardioattivi?
869. Quale dei seguenti fattori è responsabile, in maggior misura, dell’intensità dell’effetto di un farmaco?
870. Quale affermazione descrive correttamente la formulazione di un granulato effervescente per uso orale?

TuttoQUIZ.it, il portale dell'apprendimento online

© 2019 Tutti i diritti riservati

 

ASSODOLAB, Associazione Nazionale Docenti di Laboratorio
Ente accreditato e qualificato dal MIUR per la formazione del personale della Scuola - Direttiva 170 del 21/03/2016.
Via Cavour, 74 - 76015 TRINITAPOLI BT - Italy
Telefono 339.2661022 - P. IVA 03039870716

 

PRIVACY: Questo sito utilizza cookie per migliorare servizi ed esperienza dei lettori. MAGGIORI DETTAGLI

DICHIARAZIONE DI NON RESPONSABILITA': Il titolare del sito non si assume alcuna responsabilità per eventuali danni diretti o indiretti derivanti dall'uso delle informazioni presenti nel sito o non aggiornate. L'accesso e l'utilizzo del sito avvengono sotto la responsabilità dell'utente.Tutti i contenuti del sito sono usufruibili in maniera gratuita. Non viene mai richiesto dagli autori del sito di utilizzare carte di credito o altri strumenti di pagamento.