TuttoQUIZ.it

Il portale dell'apprendimento online.

Quiz Assegnazione di Sedi Farmaceutiche 2025

Suddivisione database ministeriale

GRUPPI DI QUESITI 961-990

961. Gli antidepressivi triciclici possono causare:
962. In un prodotto cosmetico l'elenco degli ingredienti deve essere riportato:
963. Una preparazione magistrale in capsule prevede l'impiego di un aminoacido ramificato. Quale, tra quelli elencati, appartiene a tale categoria?
964. L’uso del ginkgo (Ginkgo biloba L.) può esporre ad interazioni farmacologiche con farmaci:
965. Qual'è l'indicazione terapeutica della gliclazide?
966. Nella prescrizione su ricetta in triplice copia a ricalco per stupefacenti l'indirizzo e il numero telefonico professionali del medico o del veterinario sono obbligatori?
967. La capacità di scorrimento di una polvere, determinata misurando il tempo necessario perché l’intero campione defluisca dall’imbuto, viene espressa, riferita a 100 g di campione in:
968. I messaggeri chimici che agiscono nell’organismo vengono trasformati metabolicamente. Da quale di essi deriva il composto avente la formula rappresentata a lato e che corrisponde alla melatonina

969. Con quale dei seguenti metodi è ancora possibile misurare la tensione interfacciale
970. Gli unguenti sono definiti dalla F.U. come
971. Quale dei seguenti ormoni non si usa in terapia?
972. In quale dei seguenti disturbi è utilizzato il succo mirtillo rosso americano (Vaccinium macrocarpon Ait.)?
973. Per teratogeno puro si intende:
974. Quale dei seguenti macrolidi non viene somministrato per via orale?
975. Qual è l’indicazione clinica principale delle sulfoniluree aventi la struttura generale indicata?

976. Una capsula a base di ingredienti vegetali può essere:
977. Degli accoppiamenti sotto indicati, qual è quello corretto?
978. La natura del chitosano è:
979. Quali delle seguenti droghe è usata come amaro eupeptico?
980. Le indicazioni terapeutiche accettate per farmaci antimuscarinici comprendono tutte le seguenti tranne:
981. Quale tra i farmaci antimicrobici seguenti riesce a provocare modificazioni della sintesi o del metabolismo degli acidi nucleici della cellula batterica?
982. Quale dei seguenti farmaci antitumorali corrisponde alla definizione di “Sostanza di origine naturale che agisce promuovendo l’assemblamento e la stabilizzazione della tubulina”
983. Il principio attivo Selegelina trova impiego per la terapia del morbo di Parkinson. Quale delle seguenti affermazioni è vera?
984. Cosa sono le proteine G?
985. I liofilizzati di una proteina terapeutica si usano nel seguente modo
986. Quale dei seguenti è un catione monovalente che tende a diminuire o invertire l’aritmia lieve-moderata indotta da digitale?
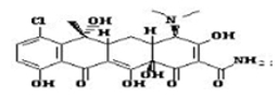
987. Su quale dei bersagli elencati agisce la clortetraciclina, avente la struttura indicata?

988. Da un punto di vista strutturale il paracetamolo può essere considerato:
989. Quale delle seguenti condizioni NON rappresenta una controindicazione per la somministrazione di un vaccino attenuato:
990. Per quale motivo le compresse rivestite con un prodotto che presenta un gruppo funzionale acido ed uno estereo,si solubilizzano facilmente a livello intestinale?

TuttoQUIZ.it, il portale dell'apprendimento online

© 2019 Tutti i diritti riservati

 

ASSODOLAB, Associazione Nazionale Docenti di Laboratorio
Ente accreditato e qualificato dal MIUR per la formazione del personale della Scuola - Direttiva 170 del 21/03/2016.
Via Cavour, 74 - 76015 TRINITAPOLI BT - Italy
Telefono 339.2661022 - P. IVA 03039870716

 

PRIVACY: Questo sito utilizza cookie per migliorare servizi ed esperienza dei lettori. MAGGIORI DETTAGLI

DICHIARAZIONE DI NON RESPONSABILITA': Il titolare del sito non si assume alcuna responsabilità per eventuali danni diretti o indiretti derivanti dall'uso delle informazioni presenti nel sito o non aggiornate. L'accesso e l'utilizzo del sito avvengono sotto la responsabilità dell'utente.Tutti i contenuti del sito sono usufruibili in maniera gratuita. Non viene mai richiesto dagli autori del sito di utilizzare carte di credito o altri strumenti di pagamento.